Articles | Volume 25, issue 10
https://doi.org/10.5194/nhess-25-4071-2025
https://doi.org/10.5194/nhess-25-4071-2025
Research article
 | 
22 Oct 2025
Research article |  | 22 Oct 2025

Unbalanced relationship between flood risk perception and flood preparedness from the perspective of response intention and socio-economic factors: a case study of Nanjing, China

Yabo Li and Peng Wang
Abstract

Perceived flood risk and flood preparedness are critical components of effective flood management. However, perceived flood risk does not always translate into flood preparedness. This study investigated the potential association between risk perception and flood preparedness in Nanjing by designing and carrying out a questionnaire survey. The results indicated that participants exhibited moderate perceptions of flood risk but demonstrated higher levels of flood preparedness. Higher risk perception was observed in individuals who were older, exercised regularly, had lower levels of education or had lived in the area for a longer period of time. Higher levels of flood preparedness were evident among females, the elderly and those with higher levels of education. Participants relied more on threat appraisal to perceive risk, but this failed to trigger sufficient coping appraisal. Inadequate risk perception resulted in a significant transformation towards flood preparedness, leading to an unbalanced relationship. Groups with distinct socio-economic characteristics showed different preferences for achieving risk perception and flood preparedness. Path analysis suggests that threat appraisal can transform into flood preparedness under the influence of response intention and socio-economic features. Individuals with higher levels of education or poor health could be more likely to perceive risk and engage in preventive behavior. These findings provide critical insights into intervention strategies designed to improve public flood preparedness in flood management.

Share
1 Introduction

Flood disasters have been shown to cause damage and irreversible losses due to global climate change (Guo et al., 2020). Floods have been identified as the most prevalent and severe type of disaster worldwide (Li et al., 2023), accounting for a significant proportion of the total of 432 disaster events in 2021. The phenomenon of rapid urbanization, coupled with the concentration of people and assets in urban areas (Deng et al., 2022; Dong et al., 2022), has increased susceptibility and vulnerability to flood events (Wang et al., 2021a). It is predicted with high reliability that climate change and heavy rainfall will become more frequent and intense (Rifat and Liu, 2022; Steinhausen et al., 2021), thereby substantially increasing urban flood risk, particularly in developing countries (Zhu et al., 2021). Despite considerable financial investment and mitigation efforts, floods will continue to pose a serious threat to human society in the foreseeable future (Thongs, 2019; Zhang et al., 2022). It is essential to implement effective flood management strategies for sustainable development.

In response to flood events, it is not advisable to rely solely on traditional structural measures (Rasool et al., 2022), such as dikes and dams. Risk perception emerges as a non-structural measure and has been a significant focus of recent research (Ahmad and Afzal, 2020). Flood risk perception reflects risk acceptance (Khan et al., 2020; Rana and Routray, 2016) and related feelings, opinions and judgments about direct or potential hazards (Rana et al., 2020; Yang, 2019). According to protection motivation theory (PMT), cognitive processes determine self-protective motivation (Khani Jeihooni et al., 2022), while threat appraisal and coping appraisal are important components of risk perception (Roder et al., 2019). A limited understanding of flood risk perception leads to failures in flood management practices (Ahmad and Afzal, 2020). Successful flood management is highly dependent on the implementation of mitigation measures because people are both victims of floods and implementers of disaster mitigation policies (Wang et al., 2018; Yin et al., 2021). Furthermore, flood preparedness is defined as individual protection action and response behaviors during floods, including preventive and adaptive behavior (Sado-Inamura and Fukushi, 2019). Subjective expected utility theory assumes that people evaluate the probability and consequences of alternative choices (Rufat and Botzen, 2022). Individuals would seek or wait for sufficient information to support the action of responding to flooding (Dootson et al., 2022; Rufat and Botzen, 2022). Adequate flood preparedness ensures that people can adjust their behaviors more rationally and effectively, making minor changes to mitigate adverse impacts of floods (Valois et al., 2020).

The perception of flood risk is often considered to promote flood preparedness (Ali et al., 2022; Shah et al., 2024). However, recent studies suggest that high levels of risk perception do not necessarily equate to effective disaster preparedness (Schlef et al., 2018). The relationship between risk perception and flood preparedness is not direct or straightforward as expected (Valois et al., 2020). Some studies have found results that contradict the popular belief that higher flood risk perception correlates with greater flood preparedness (Rasool et al., 2022), suggesting a weak or even non-existent link between these variables (Ao et al., 2020; Wachinger et al., 2018). It has been suggested that high risk perception may even lead individuals to avoid or willfully ignore specific actions under uncertain conditions (Wachinger et al., 2013). There is no consensus on how risk perception influences and predicts preparedness behavior (Huang and Lubell, 2022; Taylor et al., 2014). The relationship between risk perception and preparedness appears more strenuous in practice (Valois et al., 2020) due to the ignorance of the existence of an unknown intermediary (Ao et al., 2020; Yong and Lemyre, 2019). The theory of planned behavior anticipates how people behave in specific situation, connects behavior with individual control and considers intention as the predictive factor of behavior (Ghanian et al., 2020; Kurata et al., 2022). For individual cognitive decision-making, intention serves as the intermediate link between perception and behavior (Soetanto et al., 2017). Sufficient social–scientific evidence supports the positive relationship between risk perception and intention to respond, rather than actual behaviors (Harlan et al., 2019; van Valkengoed and Steg, 2019).

Individuals from diverse backgrounds engage in flood management and perceive flood risk in various ways (Rasool et al., 2022), and they develop personal intention to follow risk response (Kurata et al., 2022). Socio-economic features are the most controversial driving factors of risk perception (Shah et al., 2020) and flood preparedness (Ao et al., 2020), while relevant studies have reported mixed and inconsistent results (Rufat and Botzen, 2022). Socio-economic features determine the social group to which people belong and affect individual perception and action related to hazards (Harlan et al., 2019). However, most studies only estimate simple correlations and incorporate socio-economic factors as control variables in regression analysis (Rufat and Botzen, 2022). Moreover, most studies focus on the influencing factors of risk perception and flood preparedness (Ao et al., 2020; Sun and Sun, 2019; Ullah et al., 2020). Limited studies attach importance to the influence path between flood risk perception and flood preparedness (Wachinger et al., 2018). The existing literature extensively examines risk perception and flood preparedness in developed nations, but the potential linkage between flood risk perception and disaster preparedness has been relatively under-explored, particularly in developing countries (Scaini et al., 2021; Zhang et al., 2021b). Effective policies for flood management could benefit from a more integrated intervention framework that connects risk perception with flood preparedness.

https://nhess.copernicus.org/articles/25/4071/2025/nhess-25-4071-2025-f01

Figure 1Overall framework of this study.

Download

Despite continuous flood protection efforts, Nanjing has experienced increasingly severe flood damage in recent years. This study examines flood risk perception in Nanjing and investigates the transformation relationship between risk perception and flood preparedness from the perspective of response intention and socio-economic factors. This study aims to (1) identify the distribution characteristics of risk perception and flood preparedness, (2) analyze the influence effect of different factors combined with social–economic feature, and (3) reveal the influence path between risk perception and flood preparedness. Figure 1 illustrates the comprehensive framework of this study.

2 Material and methods

2.1 Study region

Nanjing is located in the middle and lower reaches of the Yangtze River in eastern China and has a municipal area of 6587.02 km2. The city belongs to a typical subtropical and monsoon climate region and is characterized by distinct seasonal changes and abundant rainfall. Nanjing had 11 urban districts, 95 streets and 6 townships by 2021. As one of China's national key flood control cities, Nanjing is confronted with the conflict of rapid urbanization and increasing floods (Zhang et al., 2021a). Nanjing is estimated to exhibit higher flood risk across various flood return periods (Wang et al., 2021b), especially in the central urban districts surrounding the Yangtze River (Li et al., 2022). Therefore, this study considers six districts (Fig. 2) of the urban center to explore the relationship between flood risk perception and flood preparedness for flood resilience.

https://nhess.copernicus.org/articles/25/4071/2025/nhess-25-4071-2025-f02

Figure 2Study area.

2.2 Survey design and variable measurement

This study developed a semi-structured questionnaire through the Likert scale to investigate flood risk perception in Nanjing. The survey primarily was divided into four primary sections: (1) socio-economic condition, (2) flood risk perception, (3) flood preparedness and (4) response intention. A detailed explanation of the questionnaire is provided in the Supplement. The first section collected information about participants' socio-economic circumstances, including gender, age, district, education background, living time (by which we mean residence time in the area under study), physical condition, exercise situation and lifestyle (particularly bad habits, such as smoking). Based on PMT, the second part measured flood risk perception by evaluating both threat and coping appraisal. In the third section, flood preparedness consisted of both adaptive and preventive behaviors. Adaptive behavior involved a range of measures designed to mitigate and adapt the impact of floods. Preventive behavior focused on actions taken to prevent and reduce the negative effects during floods. In the fourth section, we present a comprehensive survey on response intention and explored the factors that influence flood risk perception and preparedness. Flood risk knowledge referred to the level of grasping flood-related knowledge among residents. Flood risk worry evaluated individuals' fear and concern about floods. Flood experience reflected the frequency of exposure to flood disasters. Government trust revealed the degree of confidence in government flood management, while flood disaster education measured the diversity of education resources available for residents regarding floods. Table 1 presents the collected indicators and variables from the questionnaire survey.

Table 1Indicator and variable measurement.

Download Print Version | Download XLSX

2.3 Data collection

To address potential issues such as unclear and ambiguous questions, a preliminary online questionnaire was conducted before the official survey. We collected and analyzed the feedback from the initial respondents to make reasonable modifications to the questionnaire. Specific changes included deleting and reducing options that could lead to bias and misunderstanding. Subsequently, face-to-face surveys were conducted in densely populated areas of Nanjing from 24 to 30 April 2021, including Gulou, Xuanwu, Jianye, Qinhuai, Qixia and Yuhuatai districts. Interviewers underwent thorough training to ensure excellent survey skills before conducting the interviews. They were divided into six groups, each consisting of at least two members, with an appointed leader responsible for distributing and collecting questionnaires, supervising the process, and ensuring data integrity and effectiveness. At the beginning of each interview, the objectives of the survey were clearly explained and emphasized. Strictly following the principle of voluntary participation and confidentiality, respondents were afforded enough time to review questionnaire content adequately and permitted to withdraw from the survey at any point. The complete questionnaire comprised 52 questions and required approximately 15–20 min for completion. To encourage and appreciate participation, interviewers presented homemade gifts to respondents upon completion.

To ensure data validity, responses were screened based on specific criteria: incomplete questionnaires, misunderstanding of questions leading to incorrect or unguided answers, uniform responses regardless of question variation, missing pages or unidentifiable questionnaires, and inconsistent or evidently erroneous entries. Consequently, out of the distributed 844 questionnaires, 107 were deemed invalid, resulting in 737 usable responses and an effective response rate of 87.32 %.

Table 2Mann–Whitney U test on gender.

Download Print Version | Download XLSX

The sample size of respondents was calculated using Yamane's formula (Rasool et al., 2022). A sample of 844 respondents were targeted with a 95 % confidence level, employing random sampling for the survey. This study mainly excluded invalid responses according to the following criteria: (1) the questionnaire was incomplete (a considerable part of the questionnaire was not filled in), (2) respondents did not understand the questionnaire and answered incorrectly or did not answer according to the guidance, (3) interviewees chose the same answer all through even if the question changed, (4) some questionnaires were missing pages or could not be identified, and (5) questionnaires were inconsistent or obviously wrong. Eventually, this study distributed 844 questionnaires and obtained 737 valid questionnaires after excluding 107 invalid ones, with an effective rate of 87.32 %.

(1) n = N 1 + N e 2

Here n is the sample size, N is the resident population and e is the precision level.

Table 3Mann–Whitney U test on exercise situation.

Download Print Version | Download XLSX

Table 4Mann–Whitney U test on flood risk worry.

Download Print Version | Download XLSX

Table 5Mann–Whitney U test on flood experience.

Download Print Version | Download XLSX

2.4 Statistical analysis

By exporting collected data to SPSS software, this study calculated each indicator by averaging the corresponding variables and conducted descriptive analysis to reveal the distribution features of different indicators and variables. The statistical Mann–Whitney U test, a nonparametric statistical method, was used to compare the values of a variable between two independent groups (Karim et al., 2022). The Kruskal–Wallis statistical test compared the values of a variable between several independent groups (Kadkhodaei et al., 2022). The Mann–Whitney U test was used for “yes or no” questions, and the Kruskal–Wallis test was used for questions with three or more answer choices (Kadkhodaei et al., 2022; Karim et al., 2022). These tests compared the differences in flood risk perception and flood preparedness between two and several independent groups. Correlation analysis examined the influencing factors of flood risk perception and flood preparedness.

Stepwise regression represents an iterative form of multivariate linear regression designed to determine the most effective set of predictors for modeling the response variable (Chen et al., 2013; Wang et al., 2023), including forward-adding and backward-deleting methods. During model construction, the inclusion of additional covariates may diminish the statistical significance of existing predictors, prompting the removal of non-contributory variables through backward elimination. The algorithm converges upon achieving optimal explanatory power without overfitting. In this study, the backward-deleting method was prioritized within the stepwise framework to evaluate the impact of different factors on risk perception and flood preparedness.

Finally, the moderated mediation model was performed using the PROCESS macro program in SPSS (Kamau-Mitchell and Lopes, 2024) to capture the influence path between flood risk perception and flood preparedness. The PROCESS program effectively tests the moderated mediation model (McMains et al., 2024) and clarifies the mediating and moderating roles of different variables. In this model, risk perception, flood preparedness, response intention and social–economic factors acted as independent, dependent, mediating and moderating variables, respectively. All statistical analyses were performed at the significance level of 0.05.

Table 6Kruskal–Wallis test on age.

Download Print Version | Download XLSX

Table 7Kruskal–Wallis test on education level.

Download Print Version | Download XLSX

3 Results

3.1 Descriptive statistical analysis

Cronbach's alpha coefficient reveals the questionnaire reliability, and if it is greater than 0.8, the data are valuable (Chen et al., 2024). The KMO value is very important for questionnaire validity, and if KMO value is greater than 0.7, it means that the questionnaire has good validity and can be used for factor analysis and statistical analysis (Zhang et al., 2023). This study found that Cronbach's alpha (0.894) exceeded 0.8 and the KMO value (0.891) exceeded 0.7, illustrating the high reliability and validity of this questionnaire. The Supplement presents the descriptive analysis about basic information of participants. 739 respondents were included in this study, with a gender distribution of 43.8 % males and 56.2 % females. Most people were aged from 18 to 25 years (27.5 %), followed by 31–40 years (20.8 %), 41–50 years (14.5 %), 26–30 years (12.5 %), over 60 years (11.9 %), 51–60 years (11.4 %) and below 18 years (1.4 %). Most participants came from Jianye District (26.2 %), followed by Qixia (23.2 %), Gulou (21.8 %), Yuhuatai (11.7 %), Xuanwu (10.2 %) and Qinhuai (6.9 %) districts.

Education level was mostly undergraduate (45.6 %), middle school (16.3 %), high school (19.7 %), postgraduate and above (11.5 %), and elementary school (6.9 %). Regarding their residence duration in Nanjing, most participants had lived there for above 10 years (51.4 %), 1–3 years (17.0 %), 3–5 years (11.9 %), 5–10 years (11.9 %) and below 1 year (7.7 %). More than half of respondents reported excellent health (49.5 %), better health (34.7 %) and general health (13.6 %), while few people indicated very poor (0.4 %) and poor (1.8 %) health. The majority did not smoke (81.1 %), and 18.9 % had the habit of smoking. Over half often engaged in regular exercising (61.2 %) and 38.8 % lacked adequate exercise. These socio-economic features in our study were consistent with the flood control knowledge survey issued by Nanjing government.

This study calculated the score of each variable and indicator (Supplement). Flood risk perception was found to be at a medium level, with an average score of 3.57. Residents demonstrated a high level of threat appraisal and a medium level of coping appraisal. The average level of flood preparedness was relatively high (4.05), and local participants exhibited a high level of adaptive behavior (4.25) and a medium level of preventive behavior (3.85). Furthermore, a medium level of flood risk knowledge and government trust was observed among respondents (2.73 and 2.94). There was also a low level of flood experience and flood disaster education (0.45 and 0.46). Flood risk worry showed a medium level (0.50), while participants had a relatively low level of response intention (2.73).

Table 8Kruskal–Wallis test on living time.

Download Print Version | Download XLSX

Table 9Kruskal–Wallis test on health condition.

Download Print Version | Download XLSX

3.2 Distribution test

Tables 2–5 present the significant results of the Mann–Whitney U test. In gender category, there were significant differences in adaptive behavior, preventive behavior, flood preparedness, flood risk worry and government trust. Males' mean rank was 340.71, 336.66, 338.06, 343.22 and 392.47, while females demonstrated the mean rank of 391.07, 394.23, 393.14, 389.11 and 350.69, respectively. Women exhibited a higher level of flood preparedness, adaptive and preventive behavior, and flood risk worry, while men had a higher level of government trust. Regularly exercising people showed a higher level of threat appraisal and flood risk perception, with average ranks of 389.37 and 385.47, compared to those who did not exercise (336.88 and 343.02). Furthermore, individuals with flood risk worry exhibited higher levels of flood risk perception, flood preparedness and response intention, with a mean rank of 387.33, 397.41 and 479.18, respectively. Individuals with flood experience showed a higher level of flood risk perception and response intention (416.08 and 507.11).

https://nhess.copernicus.org/articles/25/4071/2025/nhess-25-4071-2025-f03

Figure 3Pearson correlation analysis (the top-right triangle above the diagonal shows regression coefficients, and the bottom-left triangle below the diagonal shows the significance).

Download

Tables 6–9 display the significant results of the Kruskal–Wallis statistical test. Among age groups, individuals aged 31 to 40 showed a higher level of threat appraisal than those aged 18 to 25. The level of coping appraisal was lower in the 18–25 age group compared to those aged 51–60 and above 60 years. Preventive behavior was lower among people aged 51–60 than those aged 18–25 and 31–40. People aged 51–60 demonstrated more flood risk knowledge than those aged 18–25. Government trust was higher among individuals aged under 18 and 41 to 50 than aged 51 to 60. The level of flood disaster education was higher in the 41–50 age group than the 18–25 age group. Flood risk perception was higher among individuals aged 51–60 and over 60 years than those aged 18–25. Flood preparedness was higher among individuals aged 31 to 40 than those aged 51 to 60 years, while response intention was higher within people aged 51–60 years than those aged 18–25.

In terms of education level (Table 7), the mean rank of threat appraisal for postgraduate and above was lower than that of high school and undergraduate. Coping appraisal for postgraduate was lower than that of middle school, high school and undergraduate. People with an undergraduate education exhibited a higher mean rank of preventive behavior than those in middle school. People with middle-school and high-school education demonstrated a higher level of flood risk knowledge than those with an education level of postgraduate and above. There was a higher level of flood disaster education at the undergraduate level than at the middle- and high-school level. Individuals with postgraduate and higher levels of education showed a lower level of flood risk perception than those in middle school. Additionally, individuals with an undergraduate degree demonstrated a higher level of flood preparedness than those in the middle-school category.

https://nhess.copernicus.org/articles/25/4071/2025/nhess-25-4071-2025-f04

Figure 4Regression analysis of flood risk perception.

Download

Moreover, people with more than 10 years of residence in the area had a higher mean rank of coping appraisal than those living there for less than 1, 1–3 and 5–10 years, as shown in Table 8. Living there for less than 1 year showed a low level of coping appraisal compared to residing there for 3–5 years. Individuals with residence duration of over 10 years grasped more flood risk knowledge than those living there for less than 1, 1–3 and 5–10 years. The mean rank of flood experience was higher for individuals residing there for over 10 years than for those living there for less than 1, 1–3 and 3–5 years. People with over 10 years of residence time had a higher level of flood risk perception and response intention than those residing there for less than 1 and 1–3 years. In Table 9, it can be seen that, as physical health improved from better to excellent, there was an increasing trend in the mean rank of threat appraisal and flood risk perception. People with excellent health exhibited a higher level of preventive behavior than those with general health, and general and better health conditions had a lower mean rank of government trust than those with excellent health.

Table 10Stepwise regression analysis results of flood risk perception.

a P<0.05, b P<0.01, c P<0.001.

Download Print Version | Download XLSX

3.3 Correlation analysis

In Fig. 3, flood risk knowledge demonstrates a significant and positive relationship with coping appraisal and flood risk perception. There was a moderately positive and significant correlation between government trust and flood risk perception. Flood risk worry, flood disaster education and flood experience showed a significantly and weakly positive relationship with risk perception. Among socio-economic factors, gender had no significant correlation with flood risk perception, and other variables were weakly related to flood risk perception. Government trust was significant and moderately positively correlated with flood preparedness, while flood risk knowledge, flood risk worry, flood disaster education and flood experience were weakly related to flood preparedness. Only living time, district, education level, lifestyle and exercise situation were unrelated to flood preparedness. Gender, age and health condition were weakly correlated with flood preparedness. Flood risk perception was significantly and positively related to response intention, but flood preparedness showed a lower correlation with flood risk perception and intention response.

3.4 Influencing factors of risk perception

Table 10 presents the results of stepwise regression analysis. The initial step involved the selection of all variables for regression analysis in model 1. This process revealed that flood risk knowledge demonstrated a significant and positive effect, while the other variables exhibited relatively low effects. Then, after removing socio-economic variables, this study established model 2 with a high goodness of fit (adjusted R2=0.788). Flood risk knowledge also maintained a higher influence (0.827) on flood risk perception. Furthermore, we excluded the variable of flood risk knowledge in model 3, with a low goodness of fit (adjusted R2=0.246). But government trust, flood experience, flood disaster education and flood risk worry significantly and positively influenced risk perception, indicated by increased regression coefficients, and the effect of flood experience shifted from insignificant to significant. We found that while flood risk knowledge has the potential to significantly improve risk perception, it can also inhibit and diminish the positive impact of other contributing factors. Due to insufficient flood risk knowledge, maintaining trust in government and recalling past flooding experience were crucial for enhancing flood risk perception.

This study explored the impact of different factors on flood risk perception by different groups of participants based on socio-economic features. Figure 4 shows the significant results of regression analysis, and more detailed information is provided in the Supplement. Among males, flood risk knowledge, flood risk worry, government trust and flood disaster education positively affected flood risk perception, with standardized coefficients of 0.815, 0.087, 0.105 and 0.062, respectively. Among females, flood risk knowledge, flood risk worry and government trust exhibited a significant effect on risk perception (0.841, 0.043 and 0.090). Flood risk knowledge demonstrated a higher impact among females, while flood risk worry and government trust had a greater influence among males. Among the elderly, flood risk knowledge and worry significantly affected flood risk perception (0.828 and 0.128). Flood risk knowledge, flood risk worry, government trust and flood disaster education showed a significant effect (0.823, 0.059, 0.101 and 0.056) among young and middle-aged individuals. Compared with the non-elderly, the elderly exhibited a higher influence of flood risk knowledge and worry on risk perception.

Among people with a high education level, flood risk knowledge and government trust significantly and positively affected flood risk perception (0.817 and 0.124). However, for individuals with a low education level, flood risk knowledge showed a great impact (0.831) and flood risk worry and flood disaster education significantly influenced risk perception (0.109 and 0.093). For individuals with a short living time, only flood risk knowledge and government trust showed a significant positive effect (0.734 and 0.187). But for people with a long living time, flood risk knowledge demonstrated a greater impact on risk perception (0.829), while government trust exhibited a lower effect (0.064). Furthermore, flood risk worry and disaster education showed a significant effect (0.051 and 0.083).

For individuals in good health, only flood risk knowledge significantly affected risk perception (0.821). Among people in bad health, flood risk knowledge showed a greater effect (0.824), while flood risk worry, government trust and flood disaster education also influenced risk perception (0.059, 0.107 and 0.046). For individuals who regularly exercised, flood risk knowledge, flood risk worry, government trust and flood disaster education demonstrated a significant positive effect (0.817, 0.056, 0.091 and 0.090). However, flood risk knowledge, flood risk worry and government trust showed a lower impact (0.833, 0.076 and 0.097) among groups who did not exercise. For people with bad habits, flood risk knowledge, flood risk worry, government trust and flood disaster education had a significant effect (0.815, 0.093, 0.118 and 0.111). The effect of flood risk knowledge was lower (0.831) among groups without bad habits, while flood risk worry, government trust and flood disaster showed a greater impact on risk perception (0.063, 0.086 and 0.041).

3.5 Influencing factors of flood preparedness

Table 11 presents the stepwise regression results of flood preparedness. Threat appraisal had a significant and positive influence (0.213), followed by government trust (0.178), flood risk knowledge (0.140), flood disaster education (0.08) and flood risk worry (0.07), while only flood experience exhibited a negative effect (−0.09). Lower influence of threat appraisal on flood preparedness suggested that high risk perception was associated with insufficient flood preparedness behavior. This study also considered socio-economic features as group categories, and explored the effects of different factors on flood preparedness (Fig. 5). The Supplement provided more detailed information about the regression results.

Table 11Stepwise regression analysis results of flood preparedness.

a P<0.05, b P<0.01, c P<0.001.

Download Print Version | Download XLSX

In the high-risk-perception groups, threat appraisal significantly and positively affected flood preparedness (0.171), followed by flood disaster education (0.079), flood risk worry (0.118), government trust (0.198) and flood risk knowledge (0.169). Only flood experience had a negative effect (0.125). For the low-risk-perception groups, threat appraisal showed a higher influence (0.309), but other factors were not significant. Among individuals with low response intention, only threat appraisal and government trust demonstrated a significant positive effect on flood preparedness (0.211 and 0.172). For people with high response intention, the effect of threat appraisal and government trust increased and reached 0.216 and 0.193, respectively, while flood risk knowledge, flood disaster education and flood experience also exhibited a significant influence (0.217, 0.106 and 0.112). High response intention improved the influence effect of threat appraisal and government trust and led to significant effects of other different factors.

Among males, threat appraisal, flood risk knowledge and government trust had a significant effect on flood preparedness (0.263, 0.192 and 0.240). Among females, threat appraisal, government trust and flood disaster education significantly affected flood preparedness (0.154, 0.141 and 0.123). The effect of threat appraisal was crucial for males compared to females. Among the elderly, only threat appraisal and government trust demonstrated a significant and positive effect (0.237 and 0.319). But for non-elderly individuals, the influence of threat appraisal and government trust was lower (0.217 and 0.155), while flood risk knowledge, flood risk worry, flood disaster education and flood experience significantly affected flood preparedness (0.136, 0.028, 0.096 and 0.086).

In people with a high level of education, threat appraisal, flood risk worry, government trust and flood experience significantly affected flood preparedness (0.276, 0.088, 0.152 and 0.102). But among individuals with low education, the effect of threat appraisal and government trust declined and reached 0.180 and 0.205, respectively, and flood risk knowledge also had a positive influence (0.226). Among individuals with long living time, threat appraisal, flood risk knowledge, government trust and flood disaster education showed a significant and positive effect (0.204, 0.180, 0.169 and 0.102). But for those with short residence duration, only threat appraisal exhibited a significant effect on flood preparedness (0.352).

https://nhess.copernicus.org/articles/25/4071/2025/nhess-25-4071-2025-f05

Figure 5Regression analysis of flood preparedness.

Download

https://nhess.copernicus.org/articles/25/4071/2025/nhess-25-4071-2025-f06

Figure 6Influence path of flood preparedness.

Download

For people in bad health, threat appraisal and flood risk knowledge demonstrated a higher effect (0.602 and 0.292), but none of the variables were statistically significant. Among groups in good health, although only flood experience had a negative effect (0.091), all variables affected flood preparedness significantly and positively. Among people who did not exercise, threat appraisal, flood risk knowledge and government trust showed a significant and positive effect on flood preparedness (0.207, 0.147 and 0.116). But among those who regularly exercised, the effect of threat appraisal and government trust improved and achieved 0.208 and 0.218, respectively, while the influence of flood risk knowledge decreased (0.137). For individuals without bad habits, threat appraisal, flood risk knowledge and government trust demonstrated a significant effect (0.229, 0.119 and 0.161), while only flood experience exhibited a negative influence (0.078). However, among people with bad habits, the effect of flood risk knowledge and government trust improved and both significantly and positively affected flood preparedness (0.210 and 0.238)

https://nhess.copernicus.org/articles/25/4071/2025/nhess-25-4071-2025-f07

Figure 7Moderating effect on flood preparedness.

Download

3.6 Influence path of flood preparedness

This study examined moderating and mediating effects and explored the influence path between flood risk perception and flood preparedness. The Supplement presents more detailed information. Risk perception, flood preparedness, response intention and social–economic factors acted as independent, dependent, mediating and moderating variables, respectively. We aimed to explore the moderating effect among independent, dependent and moderating variables by increasing and decreasing the level of the moderating variable. This study could reveal whether the independent variable had a significant positive predictive effect on the dependent variable, with the moderating variable being 1 standard deviation below (M 1 SD) or above (M+ 1 SD) its mean value.

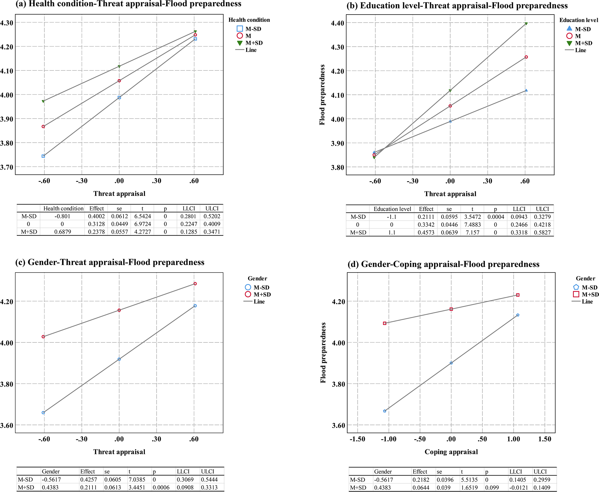
In Fig. 6a, it can be seen that health condition played a negative moderating role between threat appraisal and flood preparedness. Threat appraisal had a significant and positive effect on response intention (0.397) and flood preparedness (0.313), while response intention also positively affected flood preparedness (0.174). Under the influence of health condition and response intention, the direct effect of threat appraisal on flood preparedness was greater than indirect effect. The slope of low, medium and high moderation changes obviously and tends to be gentle in Fig. 7a. With the increasing moderating effect, health condition interfered with the influence of threat appraisal on flood preparedness. In Fig. 7a, it can be seen that as health condition worsened (M 1 SD), threat appraisal exhibited a significant and positive prediction effect on flood preparedness (slope = 0.400). The prediction effect of threat appraisal gradually weakened with the improved health condition. Threat appraisal showed a positive prediction effect (slope = 0.238) as health condition became good (M+ 1 SD). Improvement in health condition reduced the positive effect of threat appraisal on flood preparedness.

https://nhess.copernicus.org/articles/25/4071/2025/nhess-25-4071-2025-f08

Figure 8Influence of differences on adaptive and preventive behavior.

Download

The relationship between threat appraisal and flood preparedness was positively moderated by education level. Threat appraisal showed a significant and positive effect on response intention and flood preparedness (0.334), shown in Fig. 6b. Response intention also demonstrated a positive effect on flood preparedness (0.178). The direct effect of threat appraisal on flood preparedness was greater than the indirect effect under the impact of education level and response intention. A slope test revealed that, as shown in Fig. 7b, when education level was low (M 1 SD), threat appraisal had a positive prediction effect on flood preparedness (0.211). When education level was high (M+ 1 SD), threat appraisal also significantly and positively predicted flood preparedness with a greater prediction effect (0.457). As education level improved, there was a decreasing trend in the predictive effect of threat appraisal.

Gender also had a negative moderating effect between threat appraisal and flood preparedness, as shown in Fig. 6c. Threat appraisal exhibited a positive effect on response intention and flood preparedness (0.305), and response intention also had a positive effect (0.179). With the influence of gender and response intention, the direct effect of threat appraisal on flood preparedness was more substantial than the indirect effect. As shown in Fig. 7c, for individuals with male gender (M 1 SD), threat appraisal positively predicted flood preparedness (0.426). For individuals with female gender (M+ 1 SD), threat appraisal still showed a significant and positive prediction effect (0.211). The predictive effect of threat appraisal on flood preparedness was essential in the male group than females.

Gender negatively moderated the relationship between coping appraisal and flood preparedness. As shown in Fig. 6d, coping appraisal positively influenced response intention (0.447) and flood preparedness (0.132), and response intention showed a positive effect on flood preparedness (0.147). Under the influence of gender and response intention, coping appraisal exhibited a greater direct effect on flood preparedness than indirect effect. As shown in Fig. 7d, when gender was male (M 1 SD), coping appraisal positively predicted flood preparedness (0.218). When gender was female (M+ 1 SD), coping appraisal represented a positive but insignificant prediction effect (0.064). The predictive effect of coping appraisal on flood preparedness was observed to be lower among females.

https://nhess.copernicus.org/articles/25/4071/2025/nhess-25-4071-2025-f09

Figure 9Moderating effect on adaptive and preventive behavior.

Download

This study examined the behavior differences in flood preparedness influenced by flood risk perception, response intention and social–economic factors. Health condition had a negative mediating effect between threat appraisal and preventive behavior, and response intention showed a moderating effect (Fig. 8a). Threat appraisal could transform into preventive behavior under the influence of response intention and health condition. A slope test (Fig. 9a) revealed that the prediction effect between threat appraisal and preventive behavior diminished with an improvement in health condition. Furthermore, education level displayed a moderating effect between threat appraisal and preventive behavior (Fig. 8b). Threat appraisal could transform into preventive behavior under the fluence of education level and response intention. But the prediction effect diminished as education level increased, based on the slope test (Fig. 9b).

Gender had a moderating effect between threat appraisal and adaptive behavior. Threat appraisal could transform into adaptive behavior with the effect of response and gender (Fig. 8c). When gender was male (M 1 SD), threat appraisal demonstrated a stronger positive prediction effect on adaptive behavior (0.458), as shown in Fig. 9c. Furthermore, coping appraisal could transform into preventive behavior under the mediating effect of response intention and the moderating effect of gender (Fig. 8d). When gender was male (M 1 SD), coping appraisal positively predicted preventive behavior (0.168), as shown in Fig. 9d. When gender was female (M+ 1 SD), coping appraisal had a weak and insignificant prediction effect on preventive behavior (0.0378). Risk perception was more likely to be translated into preventive behavior among males.

4 Discussion

This study found no significant gender difference in risk perception; however, females exhibited a higher level of flood preparedness, consistent with previous research (Rana et al., 2020; Rasool et al., 2022). Individuals who regularly exercised demonstrated higher risk perception, mainly because adequate physical activity enhanced their response and judgment capabilities, leading to more active cognitive functions. The elderly, particularly those aged 51–60 and above 60, showed higher risk perception but lower flood preparedness. As socially vulnerable groups, the elderly were more likely to perceive flood risk (Harlan et al., 2019), yet they struggled with practical responses due to insufficient fitness and reaction capabilities. Individuals with lower education levels displayed higher risk perception, while those with higher education levels showed greater flood preparedness. People with lower educational attainment often have lower social status and are more likely to engage in hazardous occupations, motivating them to proactively perceive flood risks (Bollettino et al., 2020; Kiani et al., 2022). But highly educated individuals can access diverse information about disasters and prepare adequately for floods (Rana et al., 2020). Long living time made people become acquainted with local conditions, leading to a positive perception of flood risk. Those who experienced and worried about floods tended to perceive higher risks and made adequate preparations. Past flood experiences triggered risk perception and a greater intention to take preventive actions (Ao et al., 2020). Individuals were more likely to report higher risk perception and preparedness when floods were associated with negative emotions or memories (Rufat and Botzen, 2022).

High enough threat appraisal could trigger coping appraisal (Schlef et al., 2018), leading to increased protection motivation and promoting mitigation measures (Kurata et al., 2022). However, our results indicate that even with high threat appraisal and moderate coping appraisal, the threat appraisal may not reach the threshold necessary to effectively trigger coping appraisal, and coping appraisal had no significant effect on flood preparedness in our study. Individuals tended to rely predominantly on threat appraisal to perceive risk, often failing to generate an adequate coping appraisal, which resulted in insufficient risk perception. Thus, risk perception struggled to translate into effective flood preparedness due to this imbalanced relationship. The influence of threat appraisal on flood preparedness was greater in groups with low risk perception compared to those with high risk perception. The transformation of low risk perception into flood preparedness could be attributed to the relatively strong effect of threat appraisal on flood preparedness. The association between high risk perception and low flood preparedness might stem from the weaker effect of threat appraisal on flood preparedness. However, due to the significant influence of other factors, such as government trust, individuals within groups exhibiting high levels of risk perception were more likely to demonstrate greater preparedness for floods.

Various socio-economic characteristics influenced individual preferences for different methods of forming risk perception and achieving flood preparedness. Females exhibited higher levels of flood worry and relied more on flood knowledge to perceive risk than males, possibly due to the general perception that women are more vulnerable and sensitive (Eryılmaz Türkkan and Hırca, 2021). It was suggested that females kept calm and improved risk perception through flood knowledge. The elderly depended on both flood knowledge and worry for risk perception. Although they demonstrated a greater influence of government trust on flood preparedness, lower levels of government trust could potentially hinder their efforts in flood preparedness. Individuals with low education levels preferred using flood knowledge for risk perception and were advised to enhance their trust in the government to improve flood preparedness. Those with longer residence durations relied more on flood knowledge for risk perception, while individuals with shorter living times, unfamiliar with local floods, depended more on government trust for risk perception and favored threat appraisal to achieve flood preparedness. Groups with poor health relied more on flood knowledge for flood preparedness as adequate risk knowledge could compensate for physical functional limitations. Individuals who regularly exercised showed a preference for threat appraisal in preparing for floods. Moreover, individuals with bad habits, considered psychologically fragile and sensitive, preferred flood risk worry and knowledge and government trust for risk perception.

In our study, risk perception, including both threat and coping appraisal, directly influenced flood preparedness, with response intention exhibiting a mediating effect. Socio-economic factors, especially education level and health condition, had a moderating effect between risk perception and flood preparedness. Individuals with higher education levels were better equipped to process complex information and act promptly during the time lag between action and outcome (Dootson et al., 2022). As health condition improved, there was a negative predictive effect of threat appraisal on flood preparedness. Although people reporting good health displayed confidence in their physical function, overconfidence could impede the translation of risk perception into preparedness (Bollettino et al., 2020). These groups should attach importance to timely feedback in response to floods. Among males, despite lower levels of flood preparedness, threat and coping appraisal were stronger predictors of flood preparedness. With the effect of response intention and socio-economic factors, risk perception could transform into flood preparedness, leading to differences in preventive and adaptive behaviors. Individuals with higher education levels were more likely to perceive risk and engage in preventive behavior against flooding. Groups with poorer health were more likely to perceive flood risks and adopt preventive measures.

This study revealed the influence of socio-economic factors on risk perception and flood preparedness. But we only found the influence path from some factors, and results may not be generalized to all socio-economic characteristics. The rationality and reliability of the identified influence paths require further empirical validation in future research. Due to climate change, the adoption of different behaviors is significantly influenced by how individuals perceive and evaluate risk (Bodoque et al., 2019). When risk events are associated with adequate benefits, individuals tend to prefer adaptive behaviors (Zhang et al., 2021b). Consequently, a comprehensive analysis of benefits and costs is crucial for understanding risk perception and preparedness.

5 Conclusions

We designed a questionnaire survey to explore the relationship between risk perception and flood preparedness in Nanjing. Results found that participants showed moderate levels of risk perception but demonstrated high levels of flood preparedness. High levels of risk perception were observed in groups that exercised regularly, were elderly, had experienced flooding, had low levels of education, had lived in the area for a long time or expressed flood concerns. Higher levels of flood preparedness were observed in females, the elderly and those with higher levels of education. Individuals primarily relied on threat appraisal to perceive flood risk, but this failed to trigger adequate coping appraisal. This process resulted in a challenging translation of perceived risk into flood preparedness, characterized by an unbalanced relationship. Groups with distinct socio-economic characteristics showed different preferences in achieving risk perception and flood preparedness. Females tended to perceive risk through flood knowledge and were advised to remain calm and enhance their risk perception through flood knowledge. Elderly individuals and those with a low education level also depended on flood knowledge for risk perception, although lower government trust may have hindered their flood preparedness. Path analysis indicated that threat appraisal could transform into flood preparedness, influenced by response intention, education level or health status. Individuals with higher levels of education or poorer health were more likely to recognize risks and engage in preventive behavior. This study provides essential insights for promoting preparedness in response to floods. Future research should consider the benefits and costs associated with flood risk to reveal the heterogeneity of preparedness behaviors.

Data availability

No data sets were used in this article.

Supplement

The supplement related to this article is available online at https://doi.org/10.5194/nhess-25-4071-2025-supplement.

Author contributions

YL: methodology, investigation, writing – original draft. PW: conceptualization, writing – review & editing, supervision.

Competing interests

The contact author has declared that neither of the authors has any competing interests.

Disclaimer

Publisher’s note: Copernicus Publications remains neutral with regard to jurisdictional claims made in the text, published maps, institutional affiliations, or any other geographical representation in this paper. While Copernicus Publications makes every effort to include appropriate place names, the final responsibility lies with the authors.

Acknowledgements

The support of the Qinglan Project of Jiangsu Province is gratefully acknowledged.

Financial support

This research has been supported by the National Natural Science Foundation of China (grant nos. 42477499, 51908249), the National Key R&D Program of China (grant nos. 2023YFE0121500, 2023YFC3205703) and the Natural Science Foundation of Jiangsu Province (grant no. BK20231327).

Review statement

This paper was edited by Lindsay Beevers and reviewed by two anonymous referees.

References

Ahmad, D. and Afzal, M.: Flood hazards and factors influencing household flood perception and mitigation strategies in Pakistan, Environ. Sci. Pollut. Res., 27, 15375–15387, https://doi.org/10.1007/s11356-020-08057-z, 2020. 

Ali, A., Rana, I. A., Ali, A., and Najam, F. A.: Flood risk perception and communication: The role of hazard proximity, J. Environ. Manage., 316, 115309, https://doi.org/10.1016/j.jenvman.2022.115309, 2022. 

Ao, Y., Zhou, X., Ji, F., Wang, Y., Yang, L., Wang, Q., and Martek, I.: Flood disaster preparedness: experience and attitude of rural residents in Sichuan, China, Nat. Hazards, 104, 2591–2618, https://doi.org/10.1007/s11069-020-04286-0, 2020. 

Bodoque, J. M., Díez-Herrero, A., Amerigo, M., García, J. A., and Olcina, J.: Enhancing flash flood risk perception and awareness of mitigation actions through risk communication: A pre-post survey design, J. Hydrol. (Amst.), 568, 769–779, https://doi.org/10.1016/j.jhydrol.2018.11.007, 2019. 

Bollettino, V., Alcayna-Stevens, T., Sharma, M., Dy, P., Pham, P., and Vinck, P.: Public perception of climate change and disaster preparedness: Evidence from the Philippines, Clim. Risk Manag., 30, 100250, https://doi.org/10.1016/j.crm.2020.100250, 2020. 

Chen, X., Jin, J., Ke, W., Mao, Y., Hao, F., and Xu, D.: Exploring cognitive behavioral aspects in educational psychology: A rigorous analysis of reliability and validity measures, SLAS Technol., 29, 100144, https://doi.org/10.1016/j.slast.2024.100144, 2024. 

Chen, Y., Shi, R., Shu, S., and Gao, W.: Ensemble and enhanced PM10 concentration forecast model based on stepwise regression and wavelet analysis, Atmos. Environ., 74, 346–359, https://doi.org/10.1016/j.atmosenv.2013.04.002, 2013. 

Deng, Z., Wang, Z., Wu, X., and Lai, C.: Urban Climate Strengthened tropical cyclones and higher flood risk under compound effect of climate change and urbanization across China's Greater Bay Area, Urban Clim., 44, 101224, https://doi.org/10.1016/j.uclim.2022.101224, 2022. 

Dong, J., Shang, M., Feng, R., Song, X., Yan, D., and Xie, H.: Export and risk from antibiotic remobilization from surrounding water to lake in the extreme 2020 Yangtze River basin flooding, Sci. Total Environ., 834, 155176, https://doi.org/10.1016/j.scitotenv.2022.155176, 2022. 

Dootson, P., Kuligowski, E., Greer, D. A., Miller, S. A., and Tippett, V.: Consistent and conflicting information in floods and bushfires impact risk information seeking, risk perceptions, and protective action intentions, Int. J. Disaster Risk Reduct., 70, 102774, https://doi.org/10.1016/j.ijdrr.2021.102774, 2022. 

Eryılmaz Türkkan, G. and Hırca, T.: The investigation of flood risk perception as a quantitative analysis from socio-demographic perspective, Nat. Hazards, 106, 715–733, https://doi.org/10.1007/s11069-020-04488-6, 2021. 

Ghanian, M., M. Ghoochani, O., Dehghanpour, M., Taqipour, M., Taheri, F., and Cotton, M.: Understanding farmers' climate adaptation intention in Iran: A protection-motivation extended model, Land Use Pol., 94, 104553, https://doi.org/10.1016/j.landusepol.2020.104553, 2020. 

Guo, J., Wu, X., and Wei, G.: A new economic loss assessment system for urban severe rainfall and flooding disasters based on big data fusion, Environ. Res., 188, 109822, https://doi.org/10.1016/j.envres.2020.109822, 2020. 

Harlan, S. L., Sarango, M. J., Mack, E. A., and Stephens, T. A.: A survey-based assessment of perceived flood risk in urban areas of the United States, Anthropocene, 28, 100217, https://doi.org/10.1016/j.ancene.2019.100217, 2019. 

Huang, C. shih and Lubell, M.: Household flood risk response in San Francisco Bay: linking risk information, perception, and behavior, Reg. Environ. Change, 22, 20, https://doi.org/10.1007/s10113-022-01875-6, 2022. 

Kadkhodaei, M., Shad, R., and Ziaee, S. A.: Affecting factors of double parking violations on urban trips, Transp. Policy (Oxf), 120, 80–88, https://doi.org/10.1016/j.tranpol.2022.02.015, 2022. 

Kamau-Mitchell, C. and Lopes, B.: Increased risk of hallucinations among people with cancer: Role of loneliness, job satisfaction, sleep and a moderated-mediated model of anxiety and life satisfaction, J. Psychiatr. Res., 180, 113–120, https://doi.org/10.1016/j.jpsychires.2024.09.041, 2024. 

Karim, S., Naz, F., Naeem, M. A., and Vigne, S. A.: Is FinTech providing effective solutions to Small and Medium Enterprises (SMEs) in ASEAN countries?, Econ. Anal. Policy, 75, 335–344, https://doi.org/10.1016/j.eap.2022.05.019, 2022. 

Khan, A. A., Rana, I. A., and Nawaz, A.: Gender-based approach for assessing risk perception in a multi-hazard environment: A study of high schools of Gilgit, Pakistan, Int. J. Disaster Risk Reduct., 44, 101427, https://doi.org/10.1016/j.ijdrr.2019.101427, 2020. 

Khani Jeihooni, A., Bashti, S., Erfanian, B., Ostovarfar, J., and Afzali Hasirini, P.: Application of protection motivation theory (PMT) on skin cancer preventive behaviors amongst primary school students in rural areas of Fasa city-Iran, BMC Cancer, 22, 1–10, https://doi.org/10.1186/s12885-021-09142-3, 2022. 

Kiani, U. B. N., Najam, F. A., and Rana, I. A.: The impact of risk perception on earthquake preparedness: An empirical study from Rawalakot, Pakistan, Int. J. Disaster Risk Reduct., 76, 102989, https://doi.org/10.1016/j.ijdrr.2022.102989, 2022. 

Kurata, Y. B., Prasetyo, Y. T., Ong, A. K. S., Nadlifatin, R., and Chuenyindee, T.: Factors affecting perceived effectiveness of Typhoon Vamco (Ulysses) flood disaster response among Filipinos in Luzon, Philippines: An integration of protection motivation theory and extended theory of planned behavior, Int. J. Disaster Risk Reduct., 67, 102670, https://doi.org/10.1016/j.ijdrr.2021.102670, 2022. 

Li, C., Liu, M., Hu, Y., Wang, H., Zhou, R., Wu, W., and Wang, Y.: Spatial distribution patterns and potential exposure risks of urban floods in Chinese megacities, J. Hydrol. (Amst.), 610, 127838, https://doi.org/10.1016/j.jhydrol.2022.127838, 2022. 

Li, Y., Ji, C., Wang, P., and Huang, L.: Proactive intervention of green infrastructure on flood regulation and mitigation service based on landscape pattern, J. Clean Prod., 419, 138152, https://doi.org/10.1016/j.jclepro.2023.138152, 2023. 

McMains, J. T., Liu, S., Oshri, A., and Sweet, L. H.: Childhood maltreatment and substance use risk: A moderated mediation model of autonomic reactivity and distress tolerance, Child Abuse Negl., 154, 106940, https://doi.org/10.1016/j.chiabu.2024.106940, 2024. 

Rana, I. A. and Routray, J. K.: Actual vis-à-vis perceived risk of flood prone urban communities in Pakistan, Int. J. Disaster Risk Reduct., 19, 366–378, https://doi.org/10.1016/j.ijdrr.2016.08.028, 2016. 

Rana, I. A., Jamshed, A., Younas, Z. I., and Bhatti, S. S.: Characterizing flood risk perception in urban communities of Pakistan, Int. J. Disaster Risk Reduct., 46, 101624, https://doi.org/10.1016/j.ijdrr.2020.101624, 2020. 

Rasool, S., Rana, I. A., and Ahmad, S.: Linking flood risk perceptions and psychological distancing to climate change: A case study of rural communities along Indus and Chenab rivers, Pakistan, Int. J. Disaster Risk Reduct., 70, 102787, https://doi.org/10.1016/j.ijdrr.2022.102787, 2022. 

Rifat, S. A. Al and Liu, W.: Predicting future urban growth scenarios and potential urban flood exposure using Artificial Neural Network-Markov Chain model in Miami Metropolitan Area, Land Use Pol., 114, 105994, https://doi.org/10.1016/j.landusepol.2022.105994, 2022. 

Roder, G., Hudson, P., and Tarolli, P.: Flood risk perceptions and the willingness to pay for flood insurance in the Veneto region of Italy, Int. J. Disaster Risk Reduct., 37, 101172, https://doi.org/10.1016/j.ijdrr.2019.101172, 2019. 

Rufat, S. and Botzen, W. J. W.: Drivers and dimensions of flood risk perceptions: Revealing an implicit selection bias and lessons for communication policies, Global Environ. Change, 73, 102465, https://doi.org/10.1016/j.gloenvcha.2022.102465, 2022. 

Sado-Inamura, Y. and Fukushi, K.: Empirical analysis of flood risk perception using historical data in Tokyo, Land Use Pol., 82, 13–29, https://doi.org/10.1016/j.landusepol.2018.11.031, 2019. 

Scaini, A., Stritih, A., Brouillet, C., and Scaini, C.: Flood Risk and River Conservation: Mapping Citizen Perception to Support Sustainable River Management, Front Earth Sci. (Lausanne), 9, 1–14, https://doi.org/10.3389/feart.2021.675131, 2021. 

Schlef, K. E., Kaboré, L., Karambiri, H., Yang, Y. C. E., and Brown, C. M.: Relating perceptions of flood risk and coping ability to mitigation behavior in West Africa: Case study of Burkina Faso, Environ. Sci. Policy, 89, 254–265, https://doi.org/10.1016/j.envsci.2018.07.013, 2018. 

Shah, A. A., Gong, Z., Ali, M., Sun, R., Naqvi, S. A. A., and Arif, M.: Looking through the Lens of schools: Children perception, knowledge, and preparedness of flood disaster risk management in Pakistan, Int. J. Disaster Risk Reduct., 50, 101907, https://doi.org/10.1016/j.ijdrr.2020.101907, 2020. 

Shah, A. M., Rana, I. A., Lodhi, R. H., Najam, F. A., and Ali, A.: Evacuation decision making and risk perception: flooded rural communities in Pakistan, Environ. Hazards, 23, 54–71, https://doi.org/10.1080/17477891.2023.2220947, 2024. 

Soetanto, R., Mullins, A., and Achour, N.: The perceptions of social responsibility for community resilience to flooding: the impact of past experience, age, gender and ethnicity, Nat. Hazards, 86, 1105–1126, https://doi.org/10.1007/s11069-016-2732-z, 2017. 

Steinhausen, M., Schröter, K., Lüdtke, S., Sairam, N., Paprotny, D., Mentaschi, L., Alfieri, L., Dottori, F., and Kreibich, H.: Drivers of future flood risk change for residential buildings in Europe, EGU General Assembly Conference Abstracts, 76, EGU21-8300, https://doi.org/10.1016/j.gloenvcha.2022.102559, 2021. 

Sun, Y. and Sun, J.: Perception, preparedness, and response to tsunami risks in an aging society: Evidence from Japan, Saf. Sci., 118, 466–474, https://doi.org/10.1016/j.ssci.2019.05.060, 2019. 

Taylor, A. L., Dessai, S., and Bruine de Bruin, W.: Public perception of climate risk and adaptation in the UK: A review of the literature, Clim. Risk Manag., 4, 1–16, https://doi.org/10.1016/j.crm.2014.09.001, 2014. 

Thongs, G.: Integrating risk perceptions into flood risk management: Trinidad case study, Nat. Hazards, 98, 593–619, https://doi.org/10.1007/s11069-019-03720-2, 2019. 

Ullah, F., Saqib, S. E., Ahmad, M. M., and Fadlallah, M. A.: Flood risk perception and its determinants among rural households in two communities in Khyber Pakhtunkhwa, Pakistan, Nat. Hazards, 104, 225–247, https://doi.org/10.1007/s11069-020-04166-7, 2020. 

Valois, P., Bouchard, D., Talbot, D., Caron, M., Renaud, J.-S., Gosselin, P., and Jacob, J.: Adoption of flood-related preventive behaviours by people having different risks and histories of flooding, Nat. Hazards, 102, 1155–1173, https://doi.org/10.1007/s11069-020-03950-9, 2020. 

van Valkengoed, A. M. and Steg, L.: Meta-analyses of factors motivating climate change adaptation behaviour, Nat. Clim. Chang., 9, 158–163, https://doi.org/10.1038/s41558-018-0371-y, 2019. 

Wachinger, G., Renn, O., Begg, C., and Kuhlicke, C.: The risk perception paradox-implications for governance and communication of natural hazards, Risk Anal., 33, 1049–1065, https://doi.org/10.1111/j.1539-6924.2012.01942.x, 2013. 

Wachinger, G., Keilholz, P., and O'Brian, C.: The Difficult Path from Perception to Precautionary Action – Participatory Modeling as a Practical Tool to Overcome the Risk Perception Paradox in Flood Preparedness, Int. J. Disaster Risk Sci., 9, 472–485, https://doi.org/10.1007/s13753-018-0203-8, 2018. 

Wang, P., Li, Y., and Zhang, Y.: An urban system perspective on urban flood resilience using SEM: evidence from Nanjing city, China, Nat. Hazards, 109, 2575–2599, https://doi.org/10.1007/s11069-021-04933-0, 2021a. 

Wang, P., Li, Y., Yu, P., and Zhang, Y.: The analysis of urban flood risk propagation based on the modified susceptible infected recovered model, J. Hydrol. (Amst.), 603, 127121, https://doi.org/10.1016/j.jhydrol.2021.127121, 2021b. 

Wang, P., Yang, Y., Ji, C., and Huang, L.: Positivity and difference of influence of built environment around urban park on building energy consumption, Sustain Cities Soc., 89, 104321, https://doi.org/10.1016/j.scs.2022.104321, 2023. 

Wang, Z., Wang, H., Huang, J., Kang, J., and Han, D.: Analysis of the public flood risk perception in a flood-prone city: The case of Jingdezhen city in China, Water (Switzerland), 10, 1577, https://doi.org/10.3390/w10111577, 2018. 

Yang, D.: Supplementary Material, SUPPLEMENTARY MATERIAL Paluskar, Mpb, 2, 1–10, 2019. 

Yin, Q., Ntim-Amo, G., Ran, R., Xu, D., Ansah, S., Hu, J., and Tang, H.: Flood disaster risk perception and urban households' flood disaster preparedness: The case of accra metropolis in Ghana, Water (Switzerland), 13, 1–18, https://doi.org/10.3390/w13172328, 2021. 

Yong, A. G. and Lemyre, L.: Getting Canadians prepared for natural disasters: a multi-method analysis of risk perception, behaviors, and the social environment, Nat. Hazards, 98, 319–341, https://doi.org/10.1007/s11069-019-03669-2, 2019. 

Zhang, H., Yang, J., Li, L., Shen, D., Wei, G., Khan, Hur R., and Dong, S.: Measuring the resilience to floods: A comparative analysis of key flood control cities in China, Int. J. Disaster Risk Reduct., 59, 102248, https://doi.org/10.1016/j.ijdrr.2021.102248, 2021a. 

Zhang, K., Parks-Stamm, E. J., Ji, Y., and Wang, H.: Beyond flood preparedness: Effects of experience, trust, and perceived risk on preparation intentions and financial risk-taking in china, Sustainability (Switzerland), 13, 13625, https://doi.org/10.3390/su132413625, 2021b.  

Zhang, K., Shalehy, M. H., Ezaz, G. T., Chakraborty, A., Mohib, K. M., and Liu, L.: An integrated flood risk assessment approach based on coupled hydrological-hydraulic modeling and bottom-up hazard vulnerability analysis, Environ. Modell. Softw., 148, 105279, https://doi.org/10.1016/j.envsoft.2021.105279, 2022. 

Zhang, N., Wang, M., Zhang, Y., Cao, H., Yang, Y., Shi, Y., Pei, Y., Yang, F., and Du, Y.: Reliability and validity of the hidden hunger assessment scale in China-revised for high school students, Global Health J., 7, 110–116, https://doi.org/10.1016/j.glohj.2023.05.001, 2023. 

Zhu, S., Li, D., Huang, G., Chhipi-Shrestha, G., Nahiduzzaman, K. M., Hewage, K., and Sadiq, R.: Enhancing urban flood resilience: A holistic framework incorporating historic worst flood to Yangtze River Delta, China, Int. J. Disaster Risk Reduct., 61, 102355, https://doi.org/10.1016/j.ijdrr.2021.102355, 2021. 

Download
Short summary
This study investigated the potential association between risk perception and flood preparedness in Nanjing by designing a questionnaire survey. Participants exhibited moderate perceptions of flood risk but demonstrated higher levels of flood preparedness. Participants relied more on threat appraisal to perceive risk, but this failed to trigger sufficient coping appraisal. Threat appraisal can transform into flood preparedness under the influence of response intention and socio-economic features.
Share
Altmetrics
Final-revised paper
Preprint