Articles | Volume 26, issue 2
https://doi.org/10.5194/nhess-26-955-2026
https://doi.org/10.5194/nhess-26-955-2026
Research article
 | Highlight paper
 | 
27 Feb 2026
Research article | Highlight paper |  | 27 Feb 2026

Lessons learned in institutional preparedness and response during the 2022 European drought

Riccardo Biella, Anastasiya Shyrokaya, Ilias Pechlivanidis, Daniela Cid, Maria Carmen Llasat, Faranak Tootoonchi, Marthe Wens, Marleen Lam, Elin Stenfors, Samuel Sutanto, Elena Ridolfi, Serena Ceola, Pedro Alencar, Giuliano Di Baldassarre, Monica Ionita, Mariana Madruga de Brito, Scott J. McGrane, Benedetta Moccia, Viorica Nagavciuc, Fabio Russo, Svitlana Krakovska, Andrijana Todorovic, Patricia Trambauer, Raffaele Vignola, and Claudia Teutschbein
Abstract

Droughts in Europe are becoming increasingly frequent and severe, with the 2022 drought surpassing previous records and causing widespread socio-economic impacts. Using a Europe-wide survey (n= 481 across 30 countries) combined with hydroclimatic data (i.e., Standardized Precipitation Evapotranspiration Index; SPEI), we quantify how forecasting systems and Drought Management Plans (DMPs) affected response timing and perceived effectiveness. It specifically assesses the role of forecasting systems and Drought Management Plans (DMPs) in improving preparedness and in facilitating more effective and timely responses. Our findings show that organisations with forecasting systems or DMPs in place implemented drought response measures on average two and one months earlier respectively than those without, and rated their effectiveness higher. Additionally, the study investigates how drought management practices and awareness have evolved as a consequence of the 2018 European drought and how recent experiences shape water managers' perceptions, with 35 % of the respondents indicating introducing or updating their DMPs after the 2018 drought. The findings emphasize the necessity of a standardized, continent-wide drought risk management coordination to address the multifaceted nature of drought risk by integrating climatic and societal factors, and advocates for a Drought Directive as a means to achieve this. This research aims to inform policy development towards sustainable and holistic drought risk management, highlighting the crucial roles of preparedness, awareness, and adaptive strategies in mitigating future drought impacts.

This study and its companion paper The 2022 drought needs to be a turning point for European drought risk management are the result of a study carried out by the Drought in the Anthropocene (DitA) network, an IAHS initiative.

Editorial statement
The study draws on a unique dataset collected from a survey of nearly 500 water managers engaged in addressing the 2022 European Drought. It offers valuable insights into how preparedness influences outcomes during large-scale drought events and highlights pathways to strengthen European Drought Risk Management. The manuscript is accompanied by a companion paper, "The 2022 Drought Needs to Be a Turning Point for European Drought Risk Management" (egusphere-2024-2069), which focuses on the drought’s impacts and response. Together, the two studies underscore the urgent need for coordinated action and conclude with policy recommendations for establishing a European Union Drought Directive
Share
1 Introduction

1.1 Context of the 2022 European drought

Drought is an escalating phenomenon in Europe, with increasing frequencies and intensities across many countries (Faranda et al., 2023; Markonis et al., 2021; Rakovec et al., 2022). Most of Europe-wide extreme drought events in the past 75 years have occurred within the last two decades (van Daalen et al., 2022; Biella et al., 2024). These conditions led to the unprecedented drought of 2022, which exceeded the severity of earlier major droughts like 2003, 2015–2016, and 2018–2019 (Rakovec et al., 2022; Biella et al., 2024).

Following a dry winter and spring (2021/2022) combined with unusually early heatwaves (Tripathy and Mishra, 2023), the summer temperatures and rainfall deficits in 2022 soared to unprecedented levels. The severely diminished soil moisture and river flow (Toreti et al., 2022) led to reduced crop yields, elevated wildfire risks, salt intrusions, algal blooms, fish kills, transport disruptions, damage to human health, water restrictions and reductions in hydro- and thermoelectric power production (Toreti et al., 2022; Montanari et al., 2023; Bonaldo et al., 2023; Serrano-Notivoli et al., 2023; Rodrigues et al., 2023; Sodoge et al., 2024; Barker et al., 2024), resulting in a continent-wide crisis (Faranda et al., 2023) that incurred USD 26 billion in insured losses (Gallagher Re, 2023), making it the second most expensive weather disaster in Europe, surpassed only by the 2021 floods in Germany and Belgium ( EUR 46 billion). These consequences highlight the profound impacts of droughts, and the risks they pose to our societies, highlighting the importance of preparedness for droughts in Europe.

“Drought risk” is a complex concept that depends not only on the severity of the drought (i.e., the hazard) but also on the exposure and vulnerability of society (UNDRR, 2021). Exposure refers to the exposed entities, such as people, infrastructure, ecosystems, or industries (e.g., forestry or agriculture), whereas vulnerability describes the predisposition of an exposed element or system to be harmed by the drought (Füssel, 2007). Vulnerability depends on society's coping capacity, sensitivity (susceptibility), and adaptive capacity (Chen et al., 2021). Consequently, increasing drought risk can stem from both a changing climate that intensifies the drought hazard (Ionita et al., 2022; Schumacher et al., 2024; Serrano-Notivoli et al., 2023), as well as societal shifts (e.g., population increase, economic growth, increasing water demand), which increase exposure or vulnerability (Gregorič and Sušnik, 2010).

Drought risk is rising throughout Europe, affecting not only the typically arid Mediterranean and southern areas but also extending into the usually wetter northern parts of the continent (Spinoni et al., 2018; Caloiero et al., 2018, 2021; Richardson et al., 2022; Rossi et. al., 2023). This pattern is projected to amplify in the future, especially over the Mediterranean region and large parts of central and northern Europe (Balting et al., 2021; Rossi et. al., 2023). This underscores the urgent need for comprehensive drought risk management strategies that consider both climatic and societal dimensions to mitigate future impacts effectively.

1.2 European drought risk management frameworks

The European Union (EU) has the potential to play a leading role in coordinating and mainstreaming drought management, given its governance structure that represents most European states. However, this potential has yet to be fully explored. Within the EU, drought risk is addressed through a multifaceted set of European Commission (EC) directives and policy communications (European Commission et al., 2015; Hervás-Gámez and Delgado-Ramos, 2019; Rossi, 2009; Stein et al., 2016). While the Water Framework Directive (WFD) of 2000 (2000/60/EC) offers a binding set of regulations on water management, it does not directly address drought risk management. It mentions droughts only together with floods, without giving a proper definition of drought or water scarcity (Stein et al., 2016; Biella et al., 2025).

A crucial aspect of effective drought management is a clear and operational definition of drought. Commonly, drought is understood as “a lack of water compared to normal conditions” during a period in a specific area (Funk and Shukla, 2020; Van Loon et al., 2016). This broad definition aims to encompass the multifaceted nature of drought from both conceptual and operational standpoints to convey the overarching concept while describing drought in terms of time, space, onset, duration, termination, and severity (Mukherjee et al., 2018). Operational definitions typically rely on drought indicators that quantify drought conditions, which are essential for monitoring and early warning systems (WMO Handbook of Drought Indicators; Bachmair et al., 2016). Blauhut et al. (2022) found that 55 % of survey participants working in water resources management in Europe either lacked an operational drought definition or were unaware of one within their organizations. Among those with an operational definition, 20 % relied on a single drought type index (such as meteorological drought), while 15 % used two and 10 % used three different indices to capture the complexity of drought conditions (Blauhut et al., 2022). This underscores the heterogeneity in drought management practices across Europe and the need for standardized directives that extend beyond considering droughts as mere force-majeure events to justify non-compliance with environmental quality standards (DIRECTIVE 2000/60/EC, Articles 4.6 and 11.5).

The WFD is followed up by several non-binding communications from the EC addressing the challenges of water scarcity and droughts in the European Union in 2007, the Blueprint to Safeguard Europe's Water Resources in 2012, and the EC Water Resilience Strategy of 2025. However, the WFD remains the only legally binding document provided by the EC and does not address drought directly (Biella et al., 2025). Thus, drought risk management is instead left to individual countries, resulting in large variations in national legislations, management strategies, definitions of drought and institutional responsibilities (Publications Office of the European Union, 2023). Within the EU, 19 out of 27 member states have drought legislations in place, which differ in their level of detail and approach to drought risk management (Publications Office of the European Union, 2023), while even fewer European countries (e.g., Czech Republic, Germany, UK) have an operational drought monitoring and forecasting systems (Prudhomme et al., 2024). The legal requirement to introduce Drought risk Management Plans (DMPs) is present in only 13 member states, mainly in the Mediterranean region (Publications Office of the European Union, 2023). Other European countries outside the EU, such as Switzerland, Ukraine, Norway and the UK, manage drought risk independently, despite having transboundary waterways and interdependent economies and ecological systems with EU countries. These issues are particularly accentuated in the Balkan region (FAO, 2018).

1.3 Drought preparedness

DMPs are frameworks designed to mitigate drought impacts within and across administrative levels and sectors (UNDP, 2011). They can either be responsive (short-term), providing directions to follow when a drought is detected, or strategic (long-term), involving a combination of measures aimed at reducing water demand, increasing water-use efficiency, enhancing water storage capacity, and improving drought monitoring and early warning systems (Tokarczyk et al., 2015; UNDP, 2011). Organizations often have both types of DMPs, or a single DMP that covers both responsive and strategic aspects of drought risk management (Tokarczyk et al., 2015; UNDP, 2011).

While DMPs specify how to act before, during and after a drought, monitoring/forecasting systems are vital for providing early warning and timely information about the onset, duration, intensity, and termination of drought conditions (Morid et al., 2007; Sutanto et al., 2020a), thus determining the time for action. Forecasting can range from short-term (weeks ahead) to long-term (months ahead), with the accuracy of forecasts generally decreasing with increasing lead times (Lavaysse et al., 2015; Sutanto et al., 2020b). The forecast lead time and duration should be adapted to regional needs, such as long-term forecasts for agriculture and shorter lead times for water-borne transport (Lavaysse et al., 2015). Together, DMPs and monitoring/forecasting systems play a crucial role in improving drought preparedness, effectiveness and timeliness (Cai et al., 2017; Wilhite, 1996, 2009), allowing societies to reduce their vulnerability to droughts and lower the overall drought risk.

Awareness of drought risk has been growing across Europe (Biella et al., 2024), particularly following significant events that captured public attention and prompt change (Teutschbein et al., 2023). Studies indicate that post-drought periods are ideal for mainstreaming preparedness (Cavalcante et al., 2023), as disasters frequently prompt a re-evaluation of the existing governance systems (Lumbroso and Vinet, 2012; November et al., 2007; Raikes et al., 2019). This often initiates a governance learning process (Brody et al., 2009), leading to the implementation of corrective measures that facilitate a shift from crisis management to risk reduction (Raikes et al., 2019). Enhancing drought preparedness is likely to play a key role. Notably, many EU countries have introduced drought legislation and guidelines for DMPs after the 2018 drought (Publications Office of the European Union, 2023). Consequently, the 2022 European drought must serve as a critical wake-up call for the EU to introduce a Drought Directive Framework (Biella et al., 2024). Such a directive would provide a unified framework for drought risk management, ensuring consistency across all member states. Research on the topic should therefore strive to guide policy towards an integrated, sustainable, and holistic approach to drought risk management through exploring the interactions between preparedness, vulnerability, and risk reduction.

1.4 Contribution of this study

In this study, we examine the state of drought preparedness across Europe using a novel dataset collected through a continent-wide survey of water managers carried out during the 2022 European Drought. To understand the current state of drought preparedness across Europe and to provide insights that could inform the proposed Drought Directive, we hypothesize that:

  1. Preparedness, effectiveness, and timeliness of drought management are scattered and vary considerably across regions and organizations, leading to inconsistent patterns of drought management across Europe.

  2. Organizations operating in areas severely affected by past drought events may be more inclined to rely on forecast systems and DMPs, thereby better prepared for future droughts.

  3. The sense of management (i.e., preparedness, effectiveness and timeliness) is shaped by recent experiences (i.e., a cognitive bias exists), meaning that recent events such as the 2022 drought can disproportionately influence individuals' or organizations' judgement.

  4. Utilizing forecasting systems and implementing DMPs improve drought preparedness and lead to more effective and timely drought responses.

  5. Drought management practices and awareness are shifting over time, as they are influenced by both the occurrence of recent drought events and the implementation of preparedness measures.

To test these five hypotheses, we devised a methodology built around a continent-wide survey to water managers involved in the management of the 2022 event (Sect. 2.1), enriched with climate information (Sect. 2.2). The dataset is then analysed using statistical methods (Sect. 2.3). The findings from the analysis of the dataset examine the presence and use of forecasting systems and DMPs as preparedness measures (Sect. 3.1), the perceived effectiveness (Sect. 3.2) and timeliness of responses to the 2022 drought (Sect. 3.3), as well as the evolution of drought management over time (Sect. 3.4). The paper concludes with a discussion of the current state of drought risk management in Europe focussing on our 5 hypotheses (Sect. 4) and a plea for including preparedness relate-guidance in an EU Drought Directive (Sect. 5).

This study was conducted under the Drought in the Anthropocene (DitA) network, an initiative affiliated with the International Association of Hydrological Sciences (IAHS) and contributing to the HELPING scientific decade. It is followed by a companion paper based on the same survey and titled The 2022 drought needs to be a turning point for European drought risk management (Biella et al., 2024). The companion paper examines how the physical drivers of the 2022 European drought relate to its impacts and the management responses implemented.

2 Methods and data

2.1 Data collection: preparedness and drought management perception

2.1.1 Survey design

An online survey, delivered through a web-based questionnaire, served as the primary method for data collection. It was directed at water managers who played a role in addressing the 2022 drought (see Supplement, Sect. S1). The questionnaire was developed by a multidisciplinary research team with expertise in drought risk management. Its purpose was to gather comprehensive information on sector-specific drought impacts, the occurrence of simultaneous or compounding hazards, the actions taken by the respondents' organizations, the availability and application of preparedness strategies, and recent changes in drought risk management practices across Europe. To study preparedness and drought risk a subset of relevant questions from the survey was selected, namely:

  • Question 5.b. Does your organization use a forecasting system?

    • Responses included: Yes, seasonal forecast (1–7 months); Yes, sub-seasonal (0–5 weeks); Yes, both seasonal and sub-seasonal; No; and I don't know.

  • Question 9.a. When were the impacts first seen (month)? [by sector]

    • Responses included every month between March and September 2022, including an option for Before March 2022, and After September 2022.

  • Question 12. What were the main measures taken by your organization?

  • Question 14. How effective were the measures taken?

    • Respondents permitted to rate from 1 “not effective” to 5 “very effective”.

  • Question 15. Does your organization have a DMP or a contingency plan for droughts?

    • Responses included: Yes, both short-term response and long-term management plans; Yes, only short-term; response plan; Yes, only long-term management plan; No, we do not have either; and I don't know. Additionally, a description of the definition of short-term response and long-term management plans was given just before the question to avoid confusion.

  • Question 16. Has your organization introduced or updated its DMPs since 2018?

    • Responses included: Both plans since 2018; Only management plan since 2018; Only contingency plan since 2018; Both plans were already in place before 2018; We do not have any plan; and I don't know.

  • Question 17. The respondents were invited to fill in the “…” with one of three options for three sub-questions regarding awareness, preparedness, and effectiveness in the response in 2022 compared to the 2018 drought. The three options were More, Same, and Less. The three sub-questions were:

    • Question 17a. Compared to the 2018–2019 drought, your organization was… Aware;

    • Question 17b. Compared to the 2018–2019 drought, your organization was… Prepared;

    • Question 17c. Compared to the 2018–2019 drought, your organization was… Effective in response.

It also included:

  • Question 1. What type of organization do you belong to?

  • Question 2. At which level does your organization operate?

  • Question 3. In which country is your organization located?

  • Question 6. Which sectors does your organization operate in?

To reduce potential misinterpretation, each relevant section of the questionnaire began with a glossary defining key terms like “drought risk management”, “drought risk”, and “drought risk management plans”. The questionnaire was translated into 19 different languages (Supplement, Sect. S1.2), and disseminated in the period between March and October 2023. The sampling strategy leveraged the network of collaborations of the members of the IAHS “Drought in the Anthropocene” group (https://iahs.info/, last access: 24 February 2026). The questionnaire was then distributed via a combination of systematic targeting and snowball sampling (i.e. non-probability sampling where respondents recruit others through their network). Where possible, a systematic dissemination approach was used. For example, this was the case in in Sweden, where the survey was sent to all municipalities, and Spain and Italy where it was sent to all basin authorities. Also, key contacts in each country allowed us to reach the practitioners, experts, and academics through their personal connections. Web searches were also used to fill in gaps in countries where either method did not yield sufficient responses. The questionnaire did not collect any personal information from the respondents and did not constitute a violation of the European General Data Protection Regulation (GDPR) policy.

For many of the questions, respondents could select either the option “I don't know” or instead skip the question. To manage incomplete responses (i.e., respondents that skipped one or several questions) in the survey analysis, we employed a deletion-based available-case (also known as pair-wise deletion) analysis (Xu et al., 2022). This means that respondents who did not answer a particular question and did not select the “I don't know” option, were excluded only from analyses involving that particular question. This allowed us to use more of the collected data across different analyses, but each computed statistic may be based on a distinct subset of cases.

Responders were required to classify DMPs and forecasting systems used by type. Short-term plans (i.e., contingency or emergency plans) and sub-seasonal forecasting (0–5 weeks) were recognized as responsive preparedness, while long-term management and seasonal forecasting (1–7 months) were categorized as strategic preparedness. Organizations could report having one or both types of either preparedness item. This distinction allowed to explore whether strategic and responsive preparedness measures had distinct relationships with effectiveness and timeliness of drought response.

2.1.2 Dataset description

The survey collected 487 individual responses from 30 European countries, 481 of which were considered valid (invalid responses were either empty, exact duplicates, or responses from outside of Europe). The same data set, described in more detail in Biella et al. (2025), underpins both studies. While that paper provides an overview of drought impacts and management, here we analyse the responses specifically related to institutional preparedness, planning instruments, and early action mechanisms.

2.1.3 Limitations of the dataset

The dataset presents limitations primarily due to its survey-based nature. Firstly, due to the challenges in conducting such a large-scale survey, where systematic targeting could not be performed, snowball sampling was deemed the most effective strategy. This approach may reduce the representativeness of the data, particularly when analysing smaller sub-groups (e.g., by country or organization type). As a result, the study treats these sub-samples as indicative of their broader populations. Additionally, the responses capture individual perceptions, meaning that indicators like response effectiveness or drought risk awareness should be understood as perceived rather than objective measures.

Due to the non-probability, snowball-based sampling method used to collect some of the responses, the findings presented in this study mean that generalization to the broader population of European water managers should be made cautiously. While the survey provides valuable insights into the perceived preparedness and response effectiveness across a diverse range of regions and organizations, the results should be interpreted as descriptive. Sub-samples by region or organization type may not proportionally reflect the actual distribution of views within institutions or practices across Europe.

2.2 Hydroclimatic drought conditions

To relate the respondents' perceptions to the actual drought hazards, we also analysed the 2022 drought event from a hydroclimatic perspective by including an assessment of the multiscalar standardized precipitation-evaporation index (SPEI) (Vicente-Serrano et al., 2010). The SPEI represents the standardized monthly difference between precipitation and potential evapotranspiration, providing a dimensionless anomaly from normal conditions (WMO and GWP, 2016). Positive SPEI values indicate wetter-than-normal conditions, while negative values signify drier-than-normal conditions. The SPEI is a widely used index for quantifying the climatic water balance. It becomes more robust with longer aggregation periods (e.g., six months or more), as longer periods better represent the response times of streamflow, reservoirs, and groundwater, reflecting drought conditions in hydrological systems (WMO, 2012). Data for the SPEI were obtained from the publicly available Global SPEI Database v2.9, provided by the Climatology and Climate Services Laboratory (https://spei.csic.es/database.html#p7, last access: 12 February 2026). At the time of access, the database included SPEI values for various aggregation periods (1 to 48 months) from January 1901 to December 2022, with a spatial resolution of 0.5° and a monthly time resolution. To represent drought conditions in the summer of 2022, we selected the SPEI-6 index for August 2022 (the drought peak), which reflected the water balance anomalies during the warmer 6-month growing season from March to August 2022. Although a 6-month aggregation period may not fully capture intense short-term drought events, it is widely used for assessing seasonal drought impacts, particularly hydrological droughts, such as deficits in streamflow or groundwater levels (Stagge et al., 2017, 2015). By smoothing out short-term variability, it provides a more stable indicator of persistent water deficits and their cumulative effects on water management decisions, including for instance reservoir operations or irrigation planning. The gridded SPEI-6 data were extracted and averaged for each country using the administrative boundaries provided by EuroGeographics (https://ec.europa.eu/eurostat/web/gisco/geodata/administrative-units, last access: 12 February 2026). To test our hypothesis 2 (organizations operating in areas that have experienced more severe drought conditions during previous drought events might be more inclined to rely on forecast systems and drought management plans), we also extracted the SPEI-6 index for September 2018, which represents the peak of the 2018 European drought.

2.3 Statistical analysis

The responses were analysed by using descriptive statistics to capture the respondents' perception of their drought preparedness as well as their effectiveness and timeliness in drought management (hypothesis 1). Timeliness refers to the calendar month in which respondents reported implementing response measures, regardless of when the drought began. Responses were categorized by calendar month (e.g., March, April, etc.), with “Before March 2022” coded as February (month 2) and “After September 2022” as October (month 10). This allowed for an approximate quantification of early and late responses while acknowledging some simplification. Given the truncated and categorical nature of the data, and the potential for skewed distributions, we used the median as the preferred measure of central tendency, as it provides a more robust representation of central timing trends and is less sensitive to outliers or non-normality. To compute relative timeliness for each country, we compared the reported month in which a response was carried out with the reported drought onset (Question 9a – When was the impact first seen?) and calculated Response (month) – Impact (month). A negative value indicates how many months before the start of the drought an organization took measures. Due to the construction of the survey, relative timeliness could only be estimated at the sectorial level.

For each question, only valid responses were considered, excluding respondents who skipped the question and including only those who selected one of the provided reply options. For a more in-depth regional analysis, all responses were categorized as representing one out of seven different regions (cf. Supplement, Sect. S2): north-western (NW), north-eastern (NE), western (W), central (C), eastern (E), south-western (SW) and south-eastern (SE) Europe. Responses were also analysed by their type of organization and organizational scale (cf. Fig. S1b in the Supplement). Additionally, when comparisons at the country level were carried out, only countries with 10 or more responses were considered, as fewer than 10 responses were considered non-sufficient to make generalization at the country level.

To unravel the link between two past drought experiences (i.e., 2018 and 2022) and perceived drought preparedness and effectiveness of the management measures (hypotheses 2 and 3), we computed the non-parametric Spearman's rank correlation coefficient ρs (Spearman, 1904) between SPEI-6 (for August 2022 and September 2018 respectively) and factors, such as preparedness, effectiveness, timeliness and awareness. Spearman rank correlation was chosen over linear Pearson product-moment correlation (Pearson, 1895), because Spearman assumes only monotonicity without making prior assumptions about the nature of the relationships (e.g., linear or logarithmic). We assume that perceived effectiveness of the response should reflect the organization's level of preparedness (such as forecasting capabilities, and management plans) rather than the severity of a specific drought event.

The Wilcoxon rank sum test for non-paired samples (Wilcoxon, 1945; Mann and Whitney, 1947) was utilized to assess whether the presence of preparedness measures affects the effectiveness and timeliness of the response, as well as the variety of measures implemented (hypothesis 4). This analysis assumed that the Likert scale from 1 to 5 used in the survey for effectiveness maintains consistent meaning and equal intervals between the values throughout (Likert, 1932).

To evaluate if preparedness influences the direction of drought management and to test whether this direction is positive (hypothesis 5), a Chi-Square test was used (Pearson, 1900), utilizing the responses from questions 16 and 17. We tested three different null hypotheses: (1) Organizations utilizing any type of drought forecasting systems show more increased awareness, preparedness and effectiveness in drought management compared to those without, (2) Organizations with any type of DMPs indicate more increased awareness, preparedness and effectiveness in drought management compared to those without, and (3) Organizations that introduced or updated their DMPs since 2018 demonstrate more increased awareness, preparedness and effectiveness in drought management compared to those that did not. The responses were categorized accordingly into with/without forecasting, with/without DMP, and with/without introduction or update since 2018. Responses indicating a similar or lower awareness level as compared to 2018 were categorized as “not more aware”, thereby resulting in two categories (i.e., more aware/not more aware). This facilitated the creation of a series of 2 × 2 matrices (e.g., with DMP/without DMP versus more aware/not more aware) for the Chi-square test.

3 Results

3.1 Overview of preparedness

3.1.1 Regional patterns in preparedness

Many respondents (42 %) reported that their organizations use some form of drought forecasting in their operations (Fig. 1a, top). This comprises 21 % using both seasonal (1–7 months) and sub-seasonal (1–5 weeks) forecasts, 14 % with only sub-seasonal, 14 % with only seasonal, and 3 % with other forms of forecasting. Drought forecasting has the highest implementation rate in western (60 %), central (51 %) and south-eastern (51 %) Europe (Fig. 1a, centre). Conversely, 45 % of respondents do not use any drought forecasting, with this issue being more pronounced in eastern (54 %), north-western (53 %), and south-western (52 %) (Fig. 1a, centre). Among countries with 10 or more valid responses (Fig. 1a, bottom), the highest percentages of respondents not using a forecasting system are in Ukraine (67 %), Romania (57 %), Italy (56 %), Hungary (55 %), Germany (54 %), and Sweden (54 %). In contrast, Turkey (70 %), the Netherlands (64 %), Switzerland (63 %), Serbia (59 %), and Spain (58 %) have the highest use of forecasting as a preparedness tool.

https://nhess.copernicus.org/articles/26/955/2026/nhess-26-955-2026-f01

Figure 1Presence of preparedness factors, i.e., (a) forecasting systems, (b) drought management plans (DMPs), and (c) their introductions across Europe (top), regions (centre) – including responses from all countries within each region, including those with few responses – and countries with 10 or more responses to each question (bottom). The regions are denoted as SE (Southeast), SW (Southwest), E (East), C (Central), W (West), N (North), NW (Northwest), and NE (Northeast), with countries identified by their two-letter ISO 3166 codes.

Download

The majority of respondents (47 %) indicated that their organizations have either a long-term DMP (7 %), a short-term response plan (12 %), or both (28 %), while 46 % do not have such plans (Fig. 1b, top). DMPs are most frequently implemented in western (84 %), south-western (53 %) and north-western (47 %) Europe, and the least often (23 %) in north-eastern Europe (Fig. 1b, centre). Countries with the highest reliance on DMPs include the Netherlands (89 %), Spain (79 %), and France (73 %) (Fig. 1b, bottom). On the other hand, the highest percentages of respondents not using DMPs are in Poland (67 %), Ukraine (61 %), and Sweden (59 %). Except for France, Croatia and Poland, most countries with 10 or more responses preferred short-term over long-term plans (Fig. 1b, bottom). The highest prevalence of short-term response plans was in Switzerland (25 %), the Netherlands (22 %), and Serbia (19 %).

When asked about the introduction or updating of DMPs in their organizations, 35 % of the respondents reported that plans were introduced or updated after 2018 (i.e., after the previous large-scale European drought), while only 13 % had a DMP in place before 2018 (Fig. 1c, top). Specifically, 17 % reported the introduction or update of both plans, 11 % of solely short-term DMPs, and 7 % of only long-term DMPs. However, a considerable percentage of respondents either did not know how to answer (27 %) or did not have a DMP implemented (25 %). Notably, 19 % of all survey respondents skipped this question, compared to a 5 %–10 % skipping rate for previous questions. By far, the country with the highest share of non-valid responses was Sweden (75 %).

Regions with the highest share of DMPs introduced prior to 2018 are eastern (45 %), north-eastern (32 %), and north-western (24 %) Europe, while western Europe has the highest percentage (64 %) of DMPs introduced or updated after the 2018 drought (Fig. 1c, centre). Large fractions of respondents in the Netherlands (73 %), Switzerland (67 %), Hungary (56 %), Spain (53 %), France (50 %) and Turkey (50 %) have updated or introduced their plans after 2018 (Fig. 1c, bottom). In contrast, the countries where most plans were already in place before 2018 and have not been introduced or updated since are Ukraine (62 %) and Sweden (36 %), the United Kingdom (21 %), Italy (21 %) and Spain (20 %).

3.1.2 Organizational differences in perceived preparedness

Different types of organizations and operational levels showed varying degrees of preparedness (Sect. S3.1.2). Private organizations utilize forecasting systems most frequently (47 %), while other organizations use them less often (41 %–42 %). DMPs are most frequently implemented by NGOs (63 %), followed by public/governmental, (48 %), private (39 %), and other organizations (36 %). Respondents from NGOs also reported a higher reliance on a combination of short- and long-term DMPs (42 %) than other organizations (12 %–28 %). In contrast, private and public/governmental organizations rely more on short-term DMPs (11 % and 14 %, respectively) compared to 4 %–5 % in other organizations. Respondents from public/governmental organizations indicated that most of their DMPs were introduced after 2018 (38 %), followed by NGOs (35 %) and other organizations (33 %). Notably, only 25 % of respondents from private organizations reported introducing or updating their plans after 2018.

Preparedness also varied with the operational level of the organizations. Respondents from regional organizations more frequently reported not utilizing forecasting (52 %) compared to national (35 %) and international organizations (25 %). Conversely, 67 % of respondents from international organizations indicated using some type of forecasting, while this number dropped to 52 % at the national and 42 % at the regional level. A similar, but less distinct, pattern emerged for implementing DMPs. International organizations had a higher rate of DMP implementation (55 %), particularly for combined short- and long-term DMPs (39 %). National and regional organizations implemented DMPs less often (45 %–47 %) and relied much less on combined short- and long-term DMPs (26 %–28 %), favouring short-term plans instead (11 %–12 %), compared to only 6 % of international organizations. Regarding the timing of DMP introduction or updates, no clear differences were apparent across the operational levels. At all levels, 12 %–14 % of respondents indicated having a DMP in place before 2018, while 34 % of international, 31 % of national, and 37 % of regional respondents reported introducing or updating their DMPs after 2018.

3.1.3 Link between drought severity and preparedness

To evaluate our hypothesis that organizations operating in countries that were severely affected by past drought events are more likely to rely on forecast systems and DMPs (hypothesis 2), we compared the drought severity of the 2018 event (measured by SPEI-6 for September 2018) with the preparedness measures reported by respondents (Table 1). Our analysis revealed no correlation between the use of forecasting systems and the severity of the 2018 drought (Table 1, central column). Similarly, we found no significant correlation between the general existence of DMPs, the implementation of long-term DMPs, and the updating of DMPs (Table 1, central column). However, a strong and significant correlation was identified between the severity of the 2018 drought and the existence of short-term DMPs (Table 1, bold value), indicating that respondents from countries experiencing more severe drought conditions in 2018 were more likely to rely on short-term DMPs.

Table 1Spearman rank correlation between drought severity (expressed as SPEI6 during the peak drought months of 2018 and 2022) and preparedness. The central column depicts the correlation of preparedness factors with drought severity in 2018, the right column with drought severity in 2022. Significant values (p-value < 0.1) are highlighted in bold font.

Download Print Version | Download XLSX

To test whether recent experiences influenced perceptions of preparedness, we also compared the drought severity of the 2022 event (measured by SPEI-6 for August 2022) with the reported preparedness measures (Table 1, right column). No significant correlation was found between the severity of the 2022 drought and the use of forecasting systems, nor the implementation or updating of short- or long-term DMPs (Table 1, right column).

3.2 Preparedness of a driver of effectiveness

3.2.1 Regional patterns in perceived effectiveness

The respondents perceived effectiveness was divided, with roughly the same amount of valid (i.e., excluding “don't know” or “not relevant”) responses indicating low or medium effectiveness compared to those indicating high effectiveness. Detailed analyses of organizational and regional differences in perceived effectiveness are presented in Biella et al. (2025).

https://nhess.copernicus.org/articles/26/955/2026/nhess-26-955-2026-f02

Figure 2Perceived effectiveness of measures taken by the respondents' organizations across (a) Europe, (b) regions – including responses from all countries within each region, including those with few responses – and (c) countries with 10 or more responses. The question contained 8 response options: values 1 to 5 on a scale from “not effective” to “very effective”, “I don't know”, “not relevant”, and the option to skip the question. The mean effectiveness score is shown below the bars. The regions are denoted as SE (Southeast), SW (Southwest), E (East), C (Central), W (West), N (North), NW (Northwest), and NE (Northeast), with countries identified by their two-letter ISO 3166 codes. Adapted from Biella et al. (2025).

Download

Considering the reported effectiveness as ordinal values with equal spacing, the reported mean effectiveness for Europe was 3.4 (Fig. 2a), with the lowest in eastern Europe (2.9) and the highest in north-eastern Europe (3.8) (Fig. 2b). Among countries with 10 or more valid responses (Fig. 2c), the perceived effectiveness ranged from 2.7 to 4.0, with the highest scores in Sweden (4.0), France (3.7), the Netherlands (3.7), Switzerland (3.7), Spain (3.7) and Italy (3.6). The lowest effectiveness ratings were reported by respondents from Germany (3.0) and Croatia (3.0).

3.2.2 Organizational differences in perceived effectiveness

The analysis of perceived effectiveness by type of organization revealed that NGOs generally considered their effort to be the least effective in managing drought risk. Half of the respondents from NGOs assessed their responses as ineffective (either 1 or 2), and 29 % rated them as neutral. Only 21 % of NGOs rated their responses as effective (4 or 5), resulting in the lowest overall mean effectiveness score of 2.6 (Sect. S4.2). In comparison, respondents from both private and public/governmental organizations judged their response effectiveness on average as 3.5, with 51 %–54 % rating their responses as effective (4 or 5).

The differences across the operational levels were relatively small, with a perceived mean effectiveness of 3.6 for international organizations, 3.5 for regional, and 3.3 for national. Overall, respondents working in international organizations were the most confident, with 60 % indicating effective drought responses (rated as 4 or 5), followed by regional (51 %) and national levels (43 %). These findings are generally consistent with the overall European values.

Notably, a significant number of respondents (21 %) reported that their measures were irrelevant. This response category was intended for organizations whose activities, such as monitoring, research, or data collection, do not directly influence drought management, as well as for those that did not implement any measures. By examining the actions taken by respondents who selected “not relevant” (based on question 12 of the questionnaire, see Supplement, Fig. S2), it is apparent that the vast majority took no measures (26 %) or skipped the question on measures (24 %). A substantial number of “not relevant” responses came from Swedish respondents (31 %), who, on average, took significantly fewer measures than those from other countries and mostly relied on monitoring.

3.2.3 Link between drought severity and effectiveness

To test our hypothesis that recent drought events can disproportionately influence individuals' or organizations' judgements (hypothesis 3), we analysed the relationship between drought severity (of both the previous 2018 European event and the most recent 2022 drought) and perceived effectiveness (Fig. 3). We found no correlation between perceived effectiveness during the 2022 drought and drought severity in 2018 (Fig. 3a). However, a strong and significant positive correlation (p-value < 0.1) was observed between perceived effectiveness and drought severity in 2022 (Fig. 3b). Countries that experienced more severe drought conditions in 2022 (e.g., the Netherlands, Germany, Croatia, and Italy) tended to perceive their drought management measures as less effective, while less affected countries like Sweden perceived higher effectiveness.

https://nhess.copernicus.org/articles/26/955/2026/nhess-26-955-2026-f03

Figure 3Relationship between average perceived effectiveness (y-axis) and the drought severity in (a) 2018 and (b) 2022 (x-axis, expressed as the SPEI-6 at the drought peak month) for the countries (circles) with 10 or more responses. The more negative the SPEI-6 values, the more severe the drought conditions. Spearman rank correlation coefficient “rho” and the corresponding p-value are shown in each panel's lower left corner. Countries are indicated using their two-letter country code (ISO 3166).

Download

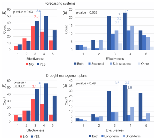
3.2.4 Influence of preparedness on effectiveness

Organizations that utilized a forecasting system considered themselves significantly more effective than those without one (Fig. 4a). On average, respondents using some type of forecasting rated their effectiveness as 3.6, compared to 3.3 for those without forecasting (p-value = 0.03). Among forecasting methods, respondents relying only on seasonal forecasting rated their effectiveness the highest at 3.7 (Fig. 4b), followed by those using combined seasonal and sub-seasonal at 3.5, only sub-seasonal at 3.5, and other types of forecast at 3.4 (p-value = 0.026).

https://nhess.copernicus.org/articles/26/955/2026/nhess-26-955-2026-f04

Figure 4Histograms of perceived effectiveness regarding the (a) utilization of forecasting systems, (b) type of forecasting system, (c) implementation of DMPs, and (d) type of DMP. The mean values of each subgroup are displayed on the graph, as well as the p-value resulting from the tests.

Download

Similarly, measures implemented by organizations with DMPs were perceived as significantly more effective than those taken by organizations without (Fig. 4c). We found that organizations with a DMP rated their effectiveness on average at 3.6, compared to 3.1 for those without DMPs (p-value = 0.0003). Notably, the effect of DMPs on effectiveness was larger and more significant than that of forecasting systems. Further analysis revealed that organizations with a combination of short- and long-term DMPs perceived their responses as most effective, rating them at 3.8 (Fig. 4d). This was followed by organizations with only short-term plans at 3.6 and those with only long-term plans at 3.1. However, this difference was not statistically significant (p-value = 0.49).

The same tests were conducted across various spatial and organizational sub-classes of respondents (Sect. S4.3), revealing that respondents with forecasting systems and/or DMPs have been more effective in their responses than those without, across most sub-classes. While not all of these differences were statistically significant, the general pattern remained consistent. Additionally, all significant differences featured higher effectiveness in groups with preparedness measures implemented, with the effect being stronger at the local level and within the public sector.

Preparedness, in the form of forecasting systems or DMPs, also significantly influenced the variety of measures organizations took in response to the drought. Respondents utilizing forecasting systems implemented an average of 1.5 different types of measures, compared to 1.1 types by those without such systems. Similarly, organizations with DMPs implemented an average of 1.5 different types of measures, while those without DMPs implemented 1.2 types. In both cases, the differences between groups (with and without preparedness measure) were statistically significant (p-values 0.0003 and 0.0004, respectively).

We also found a clear positive correlation between perceived effectiveness and the variety of measures taken (Spearman's rank correlation coefficient ρs= 0.9). Respondents rating their effectiveness as 1 or 2 implemented an average of 1.1 and 1.3 types of measures, respectively. In contrast, those rating their effectiveness as 3, 4 or 5 implemented an average of 1.5, 1.5 and 1.7 types of measures, respectively.

3.3 Preparedness as driver of timeliness in the response

3.3.1 Regional patterns in the timeliness

The timing of drought measures across Europe spanned the entire spring and summer season of 2022, with the average response month being May (Fig. 5a). A considerable number of respondents had already taken measures before March 2022, including those at the European level (Fig. 5a), as well as in western, central, and southern Europe (Fig. 5b). In several individual countries such as Spain (38 %), Germany (35 %), and Romania (33 %), early actions were also noted (Fig. 5c). By May 2022, roughly half or more of the respondents in many countries had already implemented measures (Fig. 5c). However, some countries responded much later. For instance, 45 % of respondents in Ukraine and 50 % in Great Britain reported acting in July. Similarly, in Romania and Croatia, 13 %–15 % of respondents acted after September. Interestingly, Spain exhibited one of the highest early response rates, with many measures taken before March 2022, while the highest fraction of respondents took late measures after September 2022 (19 %).

https://nhess.copernicus.org/articles/26/955/2026/nhess-26-955-2026-f05

Figure 5Perceived timeliness of measures taken by the respondents' organizations across (a) Europe, (b) regions – including responses from all countries within each region, including those with few responses – and (c) countries with 10 or more responses. The median timeliness is shown to the left of the bars and corresponds to the number of the month in the year when the measures were implemented on average. The timing “before March 2022” was assumed to represent February (month 2), and “After Sept 2022” to represent October (month 10). The regions are denoted as SE (Southeast), SW (Southwest), E (East), C (Central), W (West), N (North), NW (Northwest), and NE (Northeast), with countries identified by their two-letter ISO 3166 codes.

Download

North-western and eastern Europe responded on average later, i.e., in June and July, compared to the rest of Europe (Fig. 5b). The median response month also varied across the countries with 10 or more respondents, ranging from May in the Netherlands, Germany, Romania, and Italy, to July in Ukraine (Fig. 5c).

3.3.2 Organizational differences in the timeliness

An assessment of the relationship between organization type and the timing of drought responses revealed variations in timeliness across organizations (Sect. S5.2). Respondents from “other organizations” reported the quickest responses, averaging in early April. NGOs and private organizations were the next fastest, responding on average in early May. In contrast, public/governmental organizations reported later responses, averaging in late May, while scientific organizations were the slowest, with responses averaging in early June.

The highest fraction of respondents who implemented measures already before March were from “other organizations” (47 %), followed by NGOs (35 %), private organizations (31 %), and both public/governmental and scientific organizations (24 % each). Notably, NGO's/Charity and private organizations also had the highest fraction of respondents reporting measures taken after September (10 % and 12 %, respectively).

At the operational level, differences in the timeliness of responses were minimal, with all levels averaging mid-May. Across all levels, 26 %–27 % of respondents took action before March, and 49 %–54 % acted before June. However, there were differences in the proportion of organizations responding after September: 15 % of national-level organizations, compared to 9 % at the international level and 6 % at the regional level, implemented measures later in the year.

3.3.3 Link between drought severity and timeliness

To investigate whether recent drought events disproportionately impact individuals' or organizations' judgments, we analysed the relationship between drought severity of the 2018 and 2022 European with the perceived timeliness (Fig. 6). Positive correlations were observed in both instances (Fig. 6a, b), with respondents from countries experiencing more severe drought both in 2018 and in 2022 (i.e., more negative SPEI-6 values) introducing measures earlier. While the correlation of timeliness with the 2018 drought was not found to be significant, that with the SPEI6 of the 2022 drought was significant (with a p-value of 0.04).

https://nhess.copernicus.org/articles/26/955/2026/nhess-26-955-2026-f06

Figure 6Relationship between average perceived timeliness (y-axis) and the drought severity in (a) 2018 and (b) 2022 (x-axis, expressed as the SPEI-6 at the drought peak month) for the countries (circles) with 10 or more responses. The more negative the SPEI-6 values, the more severe the drought conditions. Spearman rank correlation coefficient (“rho”) and the corresponding p-value are shown in each panel's lower left corner. Countries are indicated using their two-letter country code (ISO 3166).

Download

3.3.4 Influence of preparedness on timeliness

Respondents with a forecasting system or a DMP in place demonstrated significantly earlier responses (Fig. 7a and c). The median timeliness of the response of the respondents using forecasting systems was 2 months faster (p-value = 0.002), and those with DMPs responded 1 month faster (p-value = 0.04) than those without these measures. The effect of utilizing a forecasting system was more pronounced than that of implementing DMPs.

https://nhess.copernicus.org/articles/26/955/2026/nhess-26-955-2026-f07

Figure 7Histogram of the timeliness in relation to the (a) utilization of forecasting systems, (b) type of forecasting systems, (c) implementation of DMPs, and (d) type of DMP. The median values of the various subgroups are displayed on the graph, as well as the p-value resulting from the respective tests.

Download

Respondents' timeliness did not differ with respect to the type of forecasting used, with all types of forecasting leading to the same median response timeliness of May. The only exception were the respondents who stated using “other” types of forecasting systems which responded faster (April). Nonetheless, this difference was statistically not significant (p-value = 0.23). We also found that organizations relying solely on long-term DMPs had a median response time 1 month slower (Fig. 7d) (month 6, June) compared to organizations with short-term DMPs (5, late May) or with a combination of both types of DMPs (5, May). This difference was also statistically insignificant (p-value = 0.95).

In terms of relative timeliness, organizations utilizing forecasting systems or DMPs implemented measures in 15 out of the 16 surveyed sectors before drought impacts emerged (Sect. S5.3). In contrast, organizations without forecasting systems or DMPs managed to respond proactively in only 3 and 4 out of 16 sectors, respectively. On average, organizations with a forecasting system or DMP responded one month before the reported impacts, whereas those without these preparedness measures responded 0.1 months after the impacts were observed (Sect. S5.3, Table S13).

3.4 Shifting drought management through institutional preparedness

3.4.1 Regional differences in management shifts

Question 17a–c of the survey allowed us to examine the shift in awareness, preparedness, and effectiveness in the response, comparing 2018 and 2022 droughts. Overall, clear positive trends in awareness (Fig. 8a), preparedness (Fig. 8b) and effectiveness (Fig. 8c) could be observed across respondents in Europe (Fig. 8, top), with most respondents indicating being more aware (54 %), prepared (35 %), and effective in the response (33 %) than in 2018, or just as aware, prepared and effective (32 %, 39 %, and 38 %, respectively) as in 2018. Only a small minority of respondents indicated being less aware (3 %), prepared (5 %), and effective (6 %).

https://nhess.copernicus.org/articles/26/955/2026/nhess-26-955-2026-f08

Figure 8Perceived shifts in (a) awareness, (b) preparedness, and (c) effectiveness from 2018 to 2022 across Europe (top), regions (centre) – including responses from all countries within each region, even from those with few responses – and countries with 10 or more responses (bottom). The regions are denoted as SE (Southeast), SW (Southwest), E (East), C (Central), W (West), N (North), NW (Northwest), and NE (Northeast), with countries identified by their two-letter ISO 3166 codes. Adapted from Biella et al. (2025).

Download

Considering the reported shifts in awareness as ordinal values with equal spacing, where “less aware” corresponds to 1, “same awareness” to 0, and “more aware” to +1 units change, the reported weighted average shift for Europe was +0.6 for awareness, +0.4 for preparedness, and +0.3 for effectiveness. Noticeably, the respondents perceived a larger positive shift in awareness than preparedness and effectiveness.

The largest portion of respondents perceiving a decrease in awareness, preparedness, and effectiveness was found in eastern Europe, while western Europe showed the largest increase (Fig. 8, centre). Specifically, countries like Sweden, Turkey, and Poland stood out for showing strong increases in awareness (1.0, 0.7 and 0.4, respectively), but nearly stagnating shifts in preparedness and effectiveness, with Sweden even featuring an overall negative trend. In fact, Sweden was the only country reporting a negative shift in preparedness, while respondents from both Ukraine and Sweden perceived a negative trend in effectiveness. Other countries such as the Netherlands, Spain, Germany or Italy showed more consistent shifts across all three dimensions (Fig. 8, bottom). A significant number of respondents also chose the option “I don't know”, especially for preparedness (21 %) and effectiveness (23 %).

3.4.2 Organizational differences in management shifts

Among organizational types, NGOs had the highest portion of respondents reporting a positive trend in awareness (63 %), but also exhibited the largest gap between awareness and preparedness, with only 33 % reporting an increase in preparedness (cf. Sect. S6.2). In contrast, private, public/governmental, and scientific organizations showed similar proportions of respondents perceiving an increase in awareness (52 %–53 %). Private organizations experienced a considerable drop from awareness (53 % reporting an increase) to preparedness (30 % reporting an increase), compared to the smaller drop observed in public/governmental (35 % reporting an increase) and scientific organizations (32 % reporting an increase). Private organizations also consistently had the largest share of respondents indicating that their levels of awareness, preparedness, and effectiveness remained the same in 2022 compared to 2018.

Overall, a minor proportion of organizations indicated a negative trend in drought risk management, with 0 %–5 % for awareness and 0 %–7 % for preparedness and effectiveness. The largest negative trend was found among NGOs, with 7 % reporting a decrease in preparedness and effectiveness, but none indicated a decrease in awareness compared to 2018.

Differences in management shifts across operational levels were much less pronounced (Sect. S6.2). Most respondents from all levels (50 %–54 %) reported increased awareness, and roughly one-third reported increased preparedness (32 %–35 %). International organizations stood out slightly, with 43 % of respondents perceiving their effectiveness as improved, compared to 34 %–35 % of respondents from national and regional organizations.

International organizations also consistently had the highest number of respondents indicating no change in their perspectives, with 47 % reporting the same level of awareness (compared to 32 % at regional and national levels), 65 % reporting the same level of preparedness (compared to 34 %–43 %), and 54 % reporting the same level of effectiveness (compared to 34 %–42 %). Notably, no respondent from an international organization reported a negative trend, compared to 3 %–7 % at other operational levels.

3.4.3 Link between drought severity and management shifts

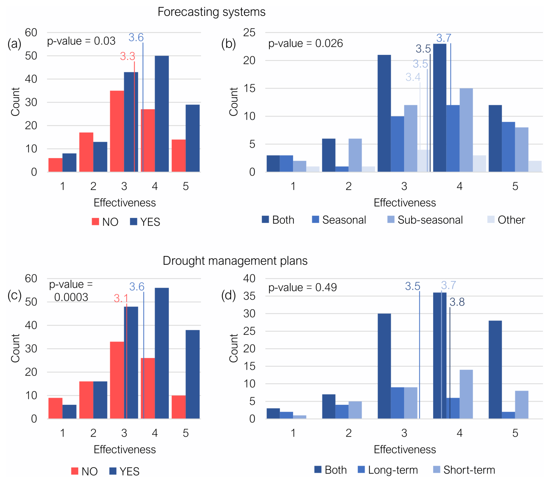
To assess whether recent drought events in 2018 and 2022 have shaped perceptions of drought management and are linked to the observed shifts in awareness, preparedness and effectiveness, we studied the relationship between drought severity during these events and the corresponding shifts. Slight negative relationships were detected between all observed shifts and the 2018 drought event (Fig. 9a, c, e), indicating that respondents from countries experiencing more severe drought conditions in 2018 saw somewhat stronger shifts in drought management practices. However, none of these correlations were statistically significant.

https://nhess.copernicus.org/articles/26/955/2026/nhess-26-955-2026-f09

Figure 9Relationships between average shifts in perceived drought management and the drought severity in 2018 (a, c, e) and 2022 (b, d, f) for the countries (circles) with 10 or more responses. Shifts are shown for (a–b) awareness, (c–d) preparedness and (e–f) effectiveness. Drought severity (x-axis) is expressed as the SPEI-6 at the drought peak month (i.e., September 2018 versus August 2022). The more negative the SPEI-6 values, the more severe the drought conditions. Spearman rank correlation coefficient (“rho”) and the corresponding p-value is shown in the lower left corner of each panel. Countries are indicated using their two-letter country code (ISO 3166).

Download

In contrast, substantially stronger and partly significant negative correlations were found when comparing the 2022 drought severity with shifts in perceived preparedness (Fig. 9d) and effectiveness (Fig. 9f). This suggests that increased drought severity (more negative SPEI-6 values) is linked to enhanced preparedness and effectiveness.

3.4.4 Influence of preparedness on perceived management shifts

Respondents who had implemented any drought-preparedness measures reported notably higher levels of perceived improvement in awareness, preparedness, and effectiveness since 2018 than those without such measures (Sect. S6.3). In line with broader European findings that many organizations felt more effective in 2022 (Biella et al., 2024), our analysis shows that these positive perceptions were especially pronounced among institutions equipped with forecasting systems (Fig. 10a). A similar pattern was observed for organizations with DMPs. Those with any form of DMP perceived stronger gains in awareness and preparedness than those lacking a plan (Fig. 10b).

https://nhess.copernicus.org/articles/26/955/2026/nhess-26-955-2026-f10

Figure 10Comparison of perceived shifts in drought awareness, preparedness, and response effectiveness between 2018 and 2022 by (a) utilization of forecasting systems, (b) implementation of DMPs, and (c) date of introduction/updating the DMPs.

Download

Respondents from organizations that introduced or updated their plans after 2018 (Fig. 10c) showed the most significant increases in awareness (67 %), preparedness (55 %), and effectiveness (50 %) compared to 2018 across all tested categories (Fig. 10). In comparison, those who updated their plans before 2018 or had no plans were less frequently more aware (53 % and 42 %), more prepared (37 % and 30 %), and more effective (37 % and 27 %). However, the differences between plans introduced before and after the 2018 drought were not statistically significant (p-values ranging from 0.15 to 0.65).

Regardless of the type of plans introduced, organizations that implemented a plan since 2018 perceived themselves as more aware, prepared, and effective than those without a plan (Sect. S6.3, Table S16). This was most evident in organizations that introduced both short-term and long-term plans after 2018, as they considered themselves significantly more effective compared to 2018 than those without a plan. The only exception was effectiveness, where organizations that introduced only long-term plans were just as effective as those without any plan. Compared to the mere presence of plans, the differences in awareness, preparedness, and effectiveness were smaller among organizations that introduced both types of plans (N= 45, 39, and 40, respectively).

4 Discussion

4.1 Variability in drought management practices across Europe

The findings of this study support the initial hypothesis that preparedness, effectiveness, and timeliness of drought management are indeed scattered and vary across regions and organizations (hypothesis 1), leading to inconsistent patterns of drought management across Europe. The adoption of drought forecasting systems and DMPs is unevenly distributed, with notable regional and organizational differences. More than half of the surveyed organizations are not employing or are uncertain about the employment of drought forecasting tools or DMPs, which are critical for proactive drought management (Bonaccorso et al., 2022; Tsakiris, 2016). The disparity is more pronounced in certain regions, particularly in eastern and north-western Europe, where most respondents reported not using any form of drought forecasting. In these regions, respondents also rated their effectiveness and timeliness the lowest, suggesting potential delays in recognizing and acting upon drought threats. The high implementation rates of DMPs in western and south-western Europe – particularly in countries like the Netherlands, Spain, and France – suggests a more advanced and proactive level of preparedness in these regions, which is also reflected in their high perceived effectiveness and timeliness. This may be attributed to these countries' historical experiences with drought (Spinoni et al., 2016) and a stronger institutional framework for water management. Conversely, countries like Poland, Ukraine, and Sweden exhibit lower adoption rates of DMPs, possibly indicating gaps in institutional capacity (e.g., in the case of Ukraine as a consequence of ongoing conflict) or low drought risk perception (Teutschbein et al., 2023). In particular, regions such as north-eastern Europe lag behind the rest of the continent, possibly due to infrequent or less historically severe droughts (Spinoni et al., 2016), leading to a lower prioritization of drought preparedness.

The introduction or updating of DMPs is a common response to the 2018 drought event, particularly in western Europe. This reactive approach underscores the importance of adaptive management in response to climate variability (UNDRR, 2021). However, the substantial percentage of respondents unaware of their organization's DMP status or skipping the question altogether highlights a potential communication and knowledge dissemination issue within organizations (Wilhite et al., 2007).

The organizational differences in perceived preparedness further illustrate the varying levels of engagement with drought preparedness tools. Private organizations are more inclined to utilize forecasting systems and respond more quickly, possibly due to the direct economic impact of drought on their operations (Berkhout, 2012). NGOs show higher implementation rates of DMPs, possibly reflecting their focus on community resilience and long-term sustainability. It is worth noting that despite being responsible for implementing most of the on-the-ground measures, only 51 % of public/governmental respondents considered them to be effective or very effective. These organizations also show later response times, likely due to the bureaucratic processes and the need for comprehensive data analysis (Takeda and Helms, 2006). Operational level also plays a significant role in preparedness. International organizations exhibit higher engagement with both forecasting systems and DMPs, possibly due to their broader mandate and greater access to resources. In contrast, regional organizations, which may face more localized challenges and resource constraints, show lower utilization rates. This pattern suggests a need for enhanced support and capacity-building at the regional level to improve drought preparedness comprehensively, and in a cohesive manner.

4.2 Impacts of past drought events on preparedness

Our research hypothesis 2 posited that countries severely affected by past droughts are more inclined to rely on forecast systems and DMPs, thereby being better prepared for future droughts. However, the lack of a significant correlation between the severity of the 2018 drought and the use of forecasting systems or the general existence and updating of DMPs suggests that severe drought conditions do not uniformly drive countries to increase preparedness. This finding could imply that other factors, such as economic capacity, institutional frameworks, or prior experience with drought management, play a more critical role in determining whether a country invests in and utilizes forecasting systems and DMPs.

The strong and significant correlation between the severity of the 2018 drought and the reliance on short-term DMPs nuanced responses with countries experiencing severe droughts in 2018 appearing more likely to implement immediate, short-term management plans. This finding suggests a reactive approach to drought management, where immediate past experiences with severe droughts prompt short-term adaptations rather than long-term strategic planning. However, this is in contrast with the research on drought, which shows that droughts are long-lasting events that can span over several seasons and their impact can trickle across different aspects of socio-ecological systems (e.g., depletion of the water supply lasting for years, delayed impacts on forestry sectors, and governance responses taking years to materialize), and require long-term perspective in their management (Van Loon et al., 2024; Hagenlocher et al., 2023; Biella et al., 2024). Additionally, research suggests that reliance on short-term information can hinder transformative adaptation (Biella et al., 2024; Boon et al., 2021).

4.3 Influence of recent drought experiences on management perception

Our study also aimed to test the hypothesis that recent experiences with droughts shape perceptions of drought management, highlighting the potential for cognitive biases to influence judgement (hypothesis 3). Contrary to our hypothesis, we found no correlation between the severity of the 2018 drought and perceived preparedness (i.e., use of forecasting systems or the general existence and updating of DMPs). Unaffected preparedness suggests that a single drought event might not directly influence long-term preparedness measures, which corroborates previous conclusions that previous experience with severe droughts does not necessarily result in long-term strategic planning (hypothesis 2). However, our findings on perceived effectiveness offer support to hypothesis 5 (i.e., drought management practices and awareness are shifting over time, as they are influenced by both the occurrence of recent droughts and the implementation of preparedness measures). While there was no correlation between perceived effectiveness and the severity of the 2018 drought, the significant positive correlation observed with the 2022 drought suggests that more recent severe events heavily influence perceptions of effectiveness. Countries experiencing severe drought conditions in 2022 tended to view their drought management measures as less effective, indicating a possible recency bias where recent negative experiences overshadow past efforts and achievements (Comes, 2016).

Similarly, the analysis of perceived timeliness revealed positive correlations for both 2018 and 2022 events, with the 2022 one being significant. This indicates that recent severe droughts generally lead to perception of delayed management responses. While these correlations are not enough to confirm a definitive influence, the consistency in the direction of the correlation and the significance of the 2022 case suggest that more severe conditions, especially of the ongoing droughts, are associated with more timely interventions, possibly due to earlier signs of droughts in severely affected regions. While previous drought experiences (i.e. the 2018 event) might also lead to faster response, this was not confirmed by our findings.

The comparison of shifts in perceived preparedness and effectiveness between the 2018 and 2022 droughts further underscores the impact of recent experiences. The significant negative correlations found with the 2022 drought severity, in contrast to the non-significant correlations for 2018, highlight that recent severe events can disproportionately shape individuals' or organizations' judgments, potentially leading to cognitive biases in evaluating management practices. This highlights the importance of considering cognitive biases when assessing drought management practices and underscores the need for continuous evaluation and adaptation to ensure effective and timely responses to future droughts.

4.4 Importance of drought preparedness

Our results unequivocally support our hypothesis 4 that utilizing forecasting systems and implementing DMPs improves drought preparedness and is associated with more effective and timely drought responses. Organizations that utilized a forecasting system considered themselves significantly more effective than those without one, which aligns with previous studies that emphasize the importance of accurate and reliable drought forecasting in enhancing preparedness and enabling timely and proactive responses to drought conditions (Buonaccorso et al., 2022). Similarly, implementing DMPs was associated with higher effectiveness ratings among organizations, indicating that structured and strategic management plans contributed to robust responses. This effect was even more pronounced than that of forecasting systems alone, suggesting that comprehensive planning is crucial for effective drought management (Wilhite et al., 2007). Our findings also revealed that organizations with a combination of short- and long-term DMPs perceived their responses most effective. This highlights the importance of integrating both immediate and future-oriented strategies to address the multifaceted challenges posed by droughts, and supports current research showing the need for Europe to develop toward a long-term and systemic approach to drought risk management (Blauhut et al., 2022; Hagenlocher et al., 2023). Crucial here is also the diversity of different drought measures, which, as we have shown in this study, depends heavily on preparedness measures. Organisations with forecasting systems or DMPs deployed a wider range of measures, highlighting the impact of preparedness on the diversity of responses. This finding is consistent with the notion that better prepared organisations are better able to deploy a variety of strategies (Teutschbein et al., 2023), thereby increasing their overall effectiveness and reducing their vulnerability to drought (Garrote et al., 2007). Respondents with either a forecasting system or a DMP in place also demonstrated significantly earlier responses to drought conditions. They implemented measures in most surveyed sectors before the drought impacts emerged, whereas those without these preparedness measures often responded reactively, after the impacts were observed. This proactive approach facilitated by forecasting and planning is essential for effective drought management as it allows for timely interventions that can reduce potential damage (Wilhite et al., 2007; Wilhite, 2009). Thus, our results underscore the need for widespread adoption of these tools across different sectors and regions.

While this study offers a detailed snapshot of institutional perceptions and drought preparedness measures during the 2022 drought, it is essential to acknowledge its limitations. The snowball sampling strategy used in some countries does not allow for probability-based inference, meaning that the patterns observed cannot be assumed to reflect all water management organizations in Europe. Instead, the study provides exploratory, descriptive insights into the role that preparedness plays in drought risk management in Europe, highlighting areas for future research efforts. Despite the limitations of the dataset, the consistency of the patterns observed lends a degree of trust in the findings of this study. Additionally, while we identified trends based on the presence of DMPs, a more detailed distinction between strategic (long-term) and responsive (short-term), many organizations implemented both plan types simultaneously. As the survey did not capture how each was operationalized during the 2022 drought, this nuance remains unexplored. Similarly, the presence and quality of forecasting systems vary substantially between countries, and not all states have operational national-level systems. This uneven institutional landscape complicates cross-country comparisons and may influence the interpretation of preparedness-related findings.

4.5 Evolution of drought management practices over time

The positive trends observed in awareness, preparedness, and effectiveness across Europe suggest that recent experiences with droughts and subsequent preparedness efforts have contributed to enhanced drought management capabilities. One key observation is the regional variability in the perceived shifts for these three parameters, as indicated by the respondents. In western and north-eastern Europe, particularly in countries like Sweden and the Netherlands, significant increases in awareness were noted from 2018 to 2022, with respondents being more informed about drought risks. However, this heightened awareness did not always translate into equally strong improvements in preparedness and effectiveness. This indicates that while awareness campaigns and informational resources have been effective, there may be gaps in translating this awareness into concrete preparedness actions and effective response strategies.

Our results also emphasize the critical role of preparedness measures, such as the implementation of DMPs and forecasting systems in enhancing perceived awareness, preparedness, and effectiveness. Organizations with such measures reported significantly higher improvements than those without. This highlights the role of proactive planning and systematic preparedness frameworks. Notably, organizations that introduced or updated their plans after 2018 perceived the most significant gains, indicating that recent updates and the incorporation of lessons learned from past droughts are crucial for effective drought management.

Furthermore, organizations with preparedness measures, particularly DMPs, exhibited a smaller gap between the trends in awareness and preparedness/effectiveness. This suggests that DMPs are essential in translating awareness into preparedness actions. The difference between drought risk awareness and preparedness, also highlighted by Biella et al. (2025), indicates a window of opportunity generated by the 2022 drought. Periods following crises can be instrumental for integrating risk reduction measures (Cavalcante et al., 2023), and this research demonstrates that the current time is ripe for mainstreaming drought risk preparedness across Europe (Biella et al., 2025).

It is important to note that the link between the 2022 drought severity and shifts in preparedness and effectiveness shown in this study might imply a self-enhancement (Gosling et al., 1998) or recency bias (Comes, 2016). The immediate experience of a severe drought often compels more urgent and substantial action. The absence of significant correlations with the 2018 drought suggests that the impact of drought severity on management may diminish over time, emphasizing the need for continuous reinforcement of preparedness measures, even in the absence of further severe events. To this end, regular updates of the preparedness measures have to be legally stipulated.

5 Embedding preparedness in European drought risk governance

The research supports the conclusion of Biella et al. (2025) underscoring the necessity for cohesive, European-wide coordination in addressing drought risk, as droughts do not respect national borders. Biella et al. (2025) advocate for amending the WFD to include clear drought risk management principles, as well as the creation of an EC Drought Directive, similar to the existing Floods Directive (Directive 2007/60/EC). We further add that the proposed Drought Directive should guide the development and introduction of DMPs, setting out principles of drought risk management, providing coordination, and offering guidance at the EU level. Implementation should occur at the Member State (MS) level, tailored to the local context, and operationalized at the local level (implying establishment of legal and institutional framework, and defining roles and responsibilities of the authorities involved).

A key aspect in the development of a Drought Directive is setting out clear guidelines for creating DMPs across the Union, as this research demonstrates their importance. The directive should guide the development, update, and standardization of DMPs across Europe by:

  1. Laying the ground-work for the expansion of DMPs, including

    • a.

      Developing a set of standards that national and local DMPs adhere to, reflecting the principles of drought risk management.

    • b.

      Mandating the development, update, and standardization of drought risk assessment and drought risk maps at the national and local levels, similarly to the implementation of the Flood Directive.

    • c.

      Providing metrics for defining drought while encouraging MSs to tailor this definition to their national and local contexts. This includes defining a list of drought-related terms such as meteorological drought, socio-economic drought, or water scarcity.

    • d.

      Providing guidelines for cross-border DMPs by leveraging the river-basin principle defined by the WFD.

  2. Supporting the European Drought Observatory (EDO) and national agencies in providing effective, timely, and accurate drought forecasts and drought-relevant climate projections at various time-frames.

  3. Defining responsibilities for developing and implementation of DMPs.

  4. Providing binding deadlines for drought risk assessment and the development of the DMPS.

6 Conclusion

This study presents a comprehensive analysis of drought preparedness, response effectiveness, and timeliness across Europe during the 2022 drought, while also evaluating the evolution of perceptions among water managers since the 2018 drought. Our findings underscore the crucial role of preparedness measures, such as drought forecasting systems and drought management plans (DMPs), in enhancing the effectiveness and timeliness of drought responses. Despite their importance, glaring disparities in drought risk preparedness exist across Europe, highlighting the need for coordinated management efforts.

This study supports the calls of its companion paper (Biella et al., 2025) for amending the WFD to include principles of systemic drought risk management and implementing a European Drought Directive to address these disparities and improve drought risk management continent-wide. Such a directive should guide the development and standardization of DMPs, promote proactive planning, and ensure systematic preparedness frameworks. Moreover, a dedicated directive would strengthen the EU's response to the growing threat of climate change and ensure a more comprehensive and coordinated approach across the continent and across different affected sectors. The directive should also include clear guidelines for drought definition, cross-border coordination, and the adoption of both short- and long-term management strategies.

Key insights from the research include:

  1. Regional Variability: There are marked differences in drought preparedness and effectiveness across regions. Western and south-western Europe show higher levels of preparedness and effectiveness, likely due to their historical experiences with drought and stronger institutional frameworks. In contrast, eastern and north-western Europe lag behind, suggesting a need for improved institutional capacity and prioritization of drought preparedness.

  2. Influence of Recent Droughts: Recent severe droughts, particularly the 2022 event, significantly influence perceptions of effectiveness and timeliness, leading to cognitive biases. This emphasizes the importance of continuous evaluation and adaptation of drought management practices to mitigate these biases.

  3. Importance of Preparedness Measures: The utilization of forecasting systems and DMPs is associated with higher effectiveness and earlier responses to drought conditions, as well as with increasing awareness. Organizations that integrated both short- and long-term DMPs perceived their responses as most effective, underscoring the necessity of comprehensive planning.

  4. Mainstreaming Window for Drought Risk Management: There is a positive shift in drought risk management across Europe, with drought risk awareness growing at a faster rate than the effectiveness of drought responses. This indicates an opportune moment for mainstreaming drought policy. Additionally, DMPs play a crucial role in translating awareness into effective preparedness and response measures.

There is a clear need to raise awareness and strengthen support for the implementation of forecasting and management tools, particularly in regions and organizations that are currently behind. By adopting a cohesive European-wide approach to drought risk management, facilitated by a legally binding Drought Directive, Europe can address this need effectively and enhance its resilience to droughts, ensuring more robust and proactive responses to future climate challenges, and thereby contributing toward the Sustainable Development Goals (United Nations, 2015).

Code availability

All codes used for the statistical analysis can be made available upon individual request.

Data availability

The data collected during the survey contains information that might allow to identify some of the respondents. Hence, all data collected through the survey has been stored on DitA's workspace and can be made available upon request. Climate-related data is freely available as described in Sect. 2.2.

Supplement

The supplement related to this article is available online at https://doi.org/10.5194/nhess-26-955-2026-supplement.

Author contributions

Conceptualization: The conceptualization of the article involved a large group of authors as the initial idea was developed during the Drought in the Anthropocene annual workshop in Uppsala in July 2022 and was defined during a first online meeting in October the same year. The following authors were involved in the conceptualization of this manuscript as they were present and actively participated during either of those events: AS, AT, BM, CT, DC, ER, ES, FR, FT, GDB, IP, MMdB, ML, MW, MMI, PT, RV, RB, SS, SC and VN. Methodology and Data Collection: All the authors present on this manuscript were involved involved in the designing, translation, and dissemination of the survey. Project Administration: AS, and RB were responsible of management and coordination of the team's research activities throughout the development of the study. Analysis: Analysis of the data was carried out by: AS, CT, DC, ER, ES, IP, MCL, ML, MW, RB, and SC. Visualization: The figures, tables and maps present in the manuscript were created by: AS, CT and RB. Writing: The original draft was prepared by a core team composed by: AS, CT and RB. Several authors were involved in the reviewing and editing process, offering priceless commentary and suggestions to the original draft: AS, AT, CT, DC, ER, ES, FT, IP, MCL, MMdB, ML, MW, MI, RB, SS and SC. The revision of this document was mainly carried out by RB, AS, CT, and FT and approved by the entire group.

Competing interests

At least one of the (co-)authors is a member of the editorial board of Natural Hazards and Earth System Sciences. The peer-review process was guided by an independent editor, and the authors also have no other competing interests to declare.

Disclaimer

Views and opinions expressed are however those of the authors only and do not necessarily reflect those of the European Union or the European Research Council Executive Agency. Neither the European Union nor the granting authority can be held responsible for the European Union's Horizon 2020 research and innovation programme.

Publisher's note: Copernicus Publications remains neutral with regard to jurisdictional claims made in the text, published maps, institutional affiliations, or any other geographical representation in this paper. The authors bear the ultimate responsibility for providing appropriate place names. Views expressed in the text are those of the authors and do not necessarily reflect the views of the publisher.

Special issue statement

This article is part of the special issue “Drought, society, and ecosystems (NHESS/BG/GC/HESS inter-journal SI)”. It is not associated with a conference.

Acknowledgements

The research work was partly funded by: European Union's Horizon 2020 research and innovation programme under the grant agreement no. 101037293: ICISK Innovating Climate services through Integrating Scientific and local Knowledge; European Union's Horizon 2020 research and innovation programme under the Marie Sklodowska-Curie grant agreement no. 956396 (EDIPI Project); partially supported by a grant of the Ministry of Research, Innovation and Digitization, under the “Romania's National Recovery and Resilience Plan – Founded by EU – Next Generation EU” program, project “Compound Extreme events from a long-term perspective and their impact on forest growth dynamics (CExForD)” no. 760074/23.05.2023, code 287/30.11.2022; the Wageningen Data Driven Discoveries in Changing Climate (D3-C2); UK National Hydrological Monitoring Programme, supported by Natural Environment Research Council, through the UKCEH National Capability for UK Challenges Programme [NE/Y006208/1]; NERC project “IndicatoRs to Impacts for drought Surveillance and management” (IRIS, grant no.: NE/X012727/1) by the European Union (ERC, PerfectSTORM, ERC-2020-StG 948601); European Union's Horizon Europe research and innovation programme under the grant agreement no. 101121192: MedEWSa – Mediterranean and pan-European forecast and Early Warning System against natural hazards, and from the European Union's Horizon 2020 research and innovation programme under the grant agreement no. 101003876: CLINT – Climate Intelligence: Extreme events detection, attribution and adaptation design using machine learning; RETURN Extended Partnership and received funding from the European Union NextGeneration EU (National Recovery and Resilience Plan – NRRP, Mission 4, Component 2, Investment 1.3 – D.D. 1243 2/8/2022, PE0000005 – Spoke DS8); European Union's Horizon Europe research and innovation programme under the grant agreement no. 101003469-XAIDA; European Union's Horizon 2020 research and innovation programme under the grant agreement no. 820712 – RECEIPTSwedish Research Council for Environment, Agricultural Sciences and Spatial Planning (FORMAS, contract no.: 942-2015-1123).

Finally, we thank the following people for their help in disseminating and translating the questionnaire, or for other types of support offered: Francesco Avanzi (CIMA foundation), Gregorio Pezzoli (UNIBG), Lotte Muller (VU Amsterdam), Irem Daloglu (Bogazici University), Saeed Vazifehkhah (WMO), Shaun Harrigan (ECMWF), Florian Pappenberger (ECMWF), Conor Murphy (Maynooth University), Mónika Lakatos (Hungarian Met Service), David W. Walker (WUR), Magdalena Smigaj (WUR), Sina Khatami, Veit Blauhut (Freiburg University), Kevin Dubois (Uppsala University), Ferran López Martí (Uppsala University), Gemma Coxon (University of Bristol), Ype van der Velde (VU Amsterdam), Niko Wanders (Utrecht University), Matthijs ten Harkel (province Noord-Brabant), and Lars de Graaff (IVM-VU Amsterdam).

Financial support

The publication of this article was funded by the Swedish Research Council, Forte, Formas, and Vinnova.

Review statement

This paper was edited by Paolo Tarolli and reviewed by three anonymous referees.

References

Bachmair, S., Svensson, C., Hannaford, J., Barker, L. J., and Stahl, K.: A quantitative analysis to objectively appraise drought indicators and model drought impacts, Hydrol. Earth Syst. Sci., 20, 2589–2609, https://doi.org/10.5194/hess-20-2589-2016, 2016. 

Balting, D. F., AghaKouchak, A., Lohmann, G., and Ionita, M.: Northern Hemisphere drought risk in a warming climate, Npj Climate and Atmospheric Science, 4, 1–13, https://doi.org/10.1038/s41612-021-00218-2, 2021.  

Barker, L. J., Hannaford, J., Magee, E., Turner, S., Sefton, C., Parry, S., Evans, J., Szczykulska, M., and Haxton, T.: An appraisal of the severity of the 2022 drought and its impacts, Weather, 99, https://doi.org/10.1002/WEA.4531, 2024. 

Berkhout, F.: Adaptation to climate change by organizations, Wiley Interdisciplinary Reviews: Climate Change, 3, 91–106, https://doi.org/10.1002/WCC.154, 2012. 

Biella, R., Mazzoleni, M., Brandimarte, L., and Di Baldassarre, G.: Thinking systemically about climate services: Using archetypes to reveal maladaptation, Climate Services, 34, 100490, https://doi.org/10.1016/J.CLISER.2024.100490, 2024. 

Biella, R., Shyrokaya, A., Ionita, M., Vignola, R., Sutanto, S. J., Todorovic, A., Teutschbein, C., Cid, D., Llasat, M. C., Alencar, P., Matanó, A., Ridolfi, E., Moccia, B., Pechlivanidis, I., van Loon, A., Wendt, D. E., Stenfors, E., Russo, F., Vidal, J.-P., Barker, L., de Brito, M. M., Lam, M., Bláhová, M., Trambauer, P., Hamed, R., McGrane, S. J., Ceola, S., Bakke, S. J., Krakovska, S., Nagavciuc, V., Tootoonchi, F., Di Baldassarre, G., Hauswirth, S., Maskey, S., Zubkovych, S., Wens, M., and Tallaksen, L. M.: The 2022 drought needs to be a turning point for European drought risk management, Nat. Hazards Earth Syst. Sci., 25, 4475–4501, https://doi.org/10.5194/nhess-25-4475-2025, 2025. 

Blauhut, V., Stoelzle, M., Ahopelto, L., Brunner, M. I., Teutschbein, C., Wendt, D. E., Akstinas, V., Bakke, S. J., Barker, L. J., Bartošová, L., Briede, A., Cammalleri, C., Kalin, K. C., De Stefano, L., Fendeková, M., Finger, D. C., Huysmans, M., Ivanov, M., Jaagus, J., Jakubínský, J., Krakovska, S., Laaha, G., Lakatos, M., Manevski, K., Neumann Andersen, M., Nikolova, N., Osuch, M., van Oel, P., Radeva, K., Romanowicz, R. J., Toth, E., Trnka, M., Urošev, M., Urquijo Reguera, J., Sauquet, E., Stevkov, A., Tallaksen, L. M., Trofimova, I., Van Loon, A. F., van Vliet, M. T. H., Vidal, J.-P., Wanders, N., Werner, M., Willems, P., and Živković, N.: Lessons from the 2018–2019 European droughts: a collective need for unifying drought risk management, Nat. Hazards Earth Syst. Sci., 22, 2201–2217, https://doi.org/10.5194/nhess-22-2201-2022, 2022. 

Bonaccorso, B., Cammalleri, C., Loukas, A., and Kreibich, H.: Preface: Recent advances in drought and water scarcity monitoring, modelling, and forecasting, Nat. Hazards Earth Syst. Sci., 22, 1857–1862, https://doi.org/10.5194/nhess-22-1857-2022, 2022. 

Bonaldo, D., Bellafiore, D., Ferrarin, C., Ferretti, R., Ricchi, A., Sangelantoni, L., and Vitelletti, M. L.: The summer 2022 drought: a taste of future climate for the Po Valley (Italy)?, Reg. Environ. Change, 23, 1, https://doi.org/10.1007/s10113-022-02004-z, 2023. 

Boon, E., Goosen, H., van Veldhoven, F., and Swart, R.: Does Transformational Adaptation Require a Transformation of Climate Services?, Frontiers in Climate, 3, https://doi.org/10.3389/fclim.2021.615291, 2021. 

Brody, S. D., Zahran, S., Highfield, W. E., Bernhardt, S. P., and Vedlitz, A.: Policy Learning for Flood Mitigation: A Longitudinal Assessment of the Community Rating System in Florida, Risk Analysis, 29, 912–929, https://doi.org/10.1111/J.1539-6924.2009.01210.X, 2009. 

Bonaccorso, B., Cammalleri, C., Loukas, A., and Kreibich, H.: Preface: Recent advances in drought and water scarcity monitoring, modelling, and forecasting, Nat. Hazards Earth Syst. Sci., 22, 1857–1862, https://doi.org/10.5194/nhess-22-1857-2022, 2022. 

Cai, X., Shafiee-Jood, M., Apurv, T., Ge, Y., and Kokoszka, S.: Key issues in drought preparedness: Reflections on experiences and strategies in the United States and selected countries, Water Security, 2, 32–42, https://doi.org/10.1016/J.WASEC.2017.11.001, 2017. 

Caloiero, T., Veltri, S., Caloiero, P., and Frustaci, F.: Drought Analysis in Europe and in the Mediterranean Basin Using the Standardized Precipitation Index, Water, 10, 1043, https://doi.org/10.3390/W10081043, 2018. 

Caloiero, T., Caroletti, G. N., and Coscarelli, R.: IMERG-Based Meteorological Drought Analysis over Italy, Climate, 9, 65, https://doi.org/10.3390/cli9040065, 2021. 

Cavalcante, L., Pot, W., van Oel, P., Kchouk, S., Neto, G. R., and Dewulf, A.: From creeping crisis to policy change: The adoption of drought preparedness policy in Brazil, Water Policy, 25, 949–965, https://doi.org/10.2166/wp.2023.073, 2023. 

Chen, D., Rojas, M., Samset, B. H., Cobb, K., Diongue Niang, A., Edwards, P., Emori, S., Faria, S. H., Hawkins, E., Hope, P., Huybrechts, P., Meinshausen, M., Mustafa, S. K., Plattner, G.-K., and Tréguier, A.-M.: Framing, Context, and Methods, in: Climate Change 2021: The Physical Science Basis. Contribution of Working Group I to the Sixth Assessment Report of the Intergovernmental Panel on Climate Change, IPCC, edited by: Masson-Delmotte, V., Zhai, P., Pirani, A., Connors, S. L., Péan, C., Berger, S., Caud, N., Chen, Y., Goldfarb, L., Gomis, M. I., Huang, M., Leitzell, K., Lonnoy, E., Matthews, J. B. R., Maycock, T. K., Waterfield, T., Yelekçi, O., Yu, R., and Zhou, B., Cambridge University Press, Cambridge, United Kingdom and New York, NY, USA, 147–286, https://doi.org/10.1017/9781009157896.003, 2021. 

Comes, T.: Cognitive biases in humanitarian sensemaking and decision-making lessons from field research, 2016 IEEE International Multi-Disciplinary Conference on Cognitive Methods in Situation Awareness and Decision Support, CogSIMA 2016, 56–62, https://doi.org/10.1109/COGSIMA.2016.7497786, 2016. 

European Commission, Directorate-General for Research and Innovation, Street, R., Parry, M., Scott, J., Jacob, D., and Runge, T.: A European research and innovation roadmap for climate services, Publications Office of the European Union, https://doi.org/10.2777/702151, 2015. 

Faranda, D., Pascale, S., and Bulut, B.: Persistent anticyclonic conditions and climate change exacerbated the exceptional 2022 European-Mediterranean drought, Environmental Research Letters, 18, 034030, https://doi.org/10.1088/1748-9326/ACBC37, 2023. 

Food and Agriculture Organization of the United Nations: Drought risk management guidelines Western Balkan region Enhancement of Disaster Risk Reduction and Management capacities and mainstreaming Climate Change Adaptation practices into the Agricultural Sector in the Western Balkans (TCP/RER/3504), https://www.fao.org/publications (last access: 12 February 2026), 2018. 

Funk, C. and Shukla, S.: Drought Early Warning and Forecasting: Drought Early Warning and Forecasting: Theory and Practice, Elsevier, https://doi.org/10.1016/C2016-0-04328-0, 2020. 

Füssel, H. M.: Vulnerability: A generally applicable conceptual framework for climate change research, Global Environmental Change, 17, 155–167, https://doi.org/10.1016/J.GLOENVCHA.2006.05.002, 2007. 

Gallagher Re: Gallagher Re natural catastrophe report 2022, https://www.preventionweb.net/publication/gallagher-re-natural-catastrophe-report-2022 (last access: 12 February 2026), 2023. 

Garrote, L., Martin-Carrasco, F., Flores-Montoya, F., and Iglesias, A.: Linking drought indicators to policy actions in the Tagus basin drought management plan, Water Resources Management, 21, 873–882, https://doi.org/10.1007/S11269-006-9086-3, 2007. 

Gosling, S. D., John, O. P., Craik, K. H., and Robins, R. W.: Do people know how they behave? Self-reported act frequencies compared with on-line codings by observers, Journal of Personality and Social Psychology, 74, 1337–1349, https://doi.org/10.1037/0022-3514.74.5.1337, 1998. 

Gregorič, G. and Sušnik, A.: Drought Management Centre for South Eastern Europe, Global Environmental Change: Challenges to Science and Society in Southeastern Europe, 237–242, https://doi.org/10.1007/978-90-481-8695-2_20, 2010. 

Hagenlocher, M., Naumann, G., Meza, I., Blauhut, V., Cotti, D., Döll, P., Ehlert, K., Gaupp, F., Van Loon, A. F., Marengo, J. A., Rossi, L., Sabino Siemons, A. S., Siebert, S., Tsehayu, A. T., Toreti, A., Tsegai, D., Vera, C., Vogt, J., and Wens, M.: Tackling Growing Drought Risks – The Need for a Systemic Perspective, Earth's Future, 11, e2023EF003857, https://doi.org/10.1029/2023EF003857, 2023. 

Hervás-Gámez, C. and Delgado-Ramos, F.: Drought Management Planning Policy: From Europe to Spain, Sustainability, 11, 1862, https://doi.org/10.3390/su11071862, 2019. 

Ionita, M., Nagavciuc, V., Scholz, P., and Dima, M.: Long-term drought intensification over Europe driven by the weakening trend of the Atlantic Meridional Overturning Circulation, Journal of Hydrology: Regional Studies, 42, 101176, https://doi.org/10.1016/J.EJRH.2022.101176, 2022. 

Lavaysse, C., Vogt, J., and Pappenberger, F.: Early warning of drought in Europe using the monthly ensemble system from ECMWF, Hydrol. Earth Syst. Sci., 19, 3273–3286, https://doi.org/10.5194/hess-19-3273-2015, 2015. 

Likert, R.: A Technique for the Measurement of Attitudes, Archives of Psychology, 1–55, 1932. 

Lumbroso, D. and Vinet, F.: Tools to Improve the Production of Emergency Plans for Floods: Are They Being Used by the People that Need Them?, Journal of Contingencies and Crisis Management, 20, 149–165, https://doi.org/10.1111/J.1468-5973.2012.00665.X, 2012. 

Mann, H. B. and Whitney, D. R.: On a test of whether one of two random variables is stochastically larger than the other, The Annals of Mathematical Statistics, 18, 50–60, http://www.jstor.org/stable/2236101 (last access: 12 February 2026), 1947. 

Markonis, Y., Kumar, R., Hanel, M., Rakovec, O., Máca, P., and Kouchak, A. A.: The rise of compound warm-season droughts in Europe, Science Advances, 7, https://doi.org/10.1126/sciadv.abb9668, 2021. 

Montanari, A., Nguyen, H., Rubinetti, S., Ceola, S., Galelli, S., Rubino, A., and Zanchettin, D.: Why the 2022 Po River drought is the worst in the past two centuries, Science Advances, 9, https://doi.org/10.1126/sciadv.adg8304, 2023. 

Morid, S., Smakhtin, V., and Bagherzadeh, K.: Drought forecasting using artificial neural networks and time series of drought indices, International Journal of Climatology, 27, 2103–2111, https://doi.org/10.1002/JOC.1498, 2007. 

Mukherjee, S., Mishra, A., and Trenberth, K. E.: Climate Change and Drought: a Perspective on Drought Indices, Current Climate Change Reports, 4, 145–163, https://doi.org/10.1007/s40641-018-0098-x, 2018. 

November, V., Delaloye, R., and Penelas, M.: . Crisis management and warning procedures, Journal of Alpine Research, 95-2, 84–94, https://doi.org/10.4000/RGA.144, 2007. 

Pearson, K.: Notes on regression and inheritance in the case of two parents, Proc. R. Soc. Lond., 58, 240–242, 1895. 

Pearson, K.: On the criterion that a given system of deviations from the probable in the case of a correlated system of variables is such that it can be reasonably supposed to have arisen from random sampling, Philos. Mag., 50, 157–175, https://doi.org/10.1080/14786440009463897, 1900. 

Prudhomme, C., Barker, L. J., Cammalleri, C., Harrigan, S., Ionita, M., and Vogt, J.: Drought early warning systems: monitoring and forecasting, in: Hydrological Drought, Elsevier, 595–635, https://doi.org/10.1016/B978-0-12-819082-1.00002-3, 2024. 

Publications Office of the European Union: Stock-taking analysis and outlook of drought policies, planning and management in EU Member States: final report, Publications Office of the European Union, https://doi.org/10.2779/21928, 2023. 

Raikes, J., Smith, T. F., Jacobson, C., and Baldwin, C.: Pre-disaster planning and preparedness for floods and droughts: A systematic review, International Journal of Disaster Risk Reduction, 38, 101207, https://doi.org/10.1016/J.IJDRR.2019.101207, 2019. 

Rakovec, O., Samaniego, L., Hari, V., Markonis, Y., Moravec, V., Thober, S., Hanel, M., and Kumar, R.: The 2018–2020 Multi-Year Drought Sets a New Benchmark in Europe, Earth's Future, 10, e2021EF002394, https://doi.org/10.1029/2021EF002394, 2022. 

Richardson, D., Black, A. S., Irving, D., Matear, R. J., Monselesan, D. P., Risbey, J. S., Squire, D. T., and Tozer, C. R.: Global increase in wildfire potential from compound fire weather and drought, Npj Climate and Atmospheric Science, 5, 1–12, https://doi.org/10.1038/s41612-022-00248-4, 2022. 

Rodrigues, M., Cunill Camprubí, À., Balaguer-Romano, R., Coco Megía, C. J., Castañares, F., Ruffault, J., Fernandes, P. M., and Resco de Dios, V.: Drivers and implications of the extreme 2022 wildfire season in Southwest Europe, Science of The Total Environment, 859, 160320, https://doi.org/10.1016/J.SCITOTENV.2022.160320, 2023. 

Rossi, G.: European Union policy for improving drought preparedness and mitigation, Water International, 34, 441–450, https://doi.org/10.1080/02508060903374418, 2009. 

Rossi, L., Wens, M., De Moel Hans, Cotti, D., Sabino, S. A.-S., Toreti, A., Maetens, W., Masante, D., Van Loon Anne, Hagenlocher, M., Rudari, R., Naumann, G., Meroni, M., Aavanzi, F., Isabellon, M., and Barbosa, P.: European Drought Risk Atlas, https://doi.org/10.2760/608737, 2023. 

Schumacher, D. L., Zachariah, M., Otto, F., Barnes, C., Philip, S., Kew, S., Vahlberg, M., Singh, R., Heinrich, D., Arrighi, J., van Aalst, M., Hauser, M., Hirschi, M., Bessenbacher, V., Gudmundsson, L., Beaudoing, H. K., Rodell, M., Li, S., Yang, W., Vecchi, G. A., Harrington, L. J., Lehner, F., Balsamo, G., and Seneviratne, S. I.: Detecting the human fingerprint in the summer 2022 western–central European soil drought, Earth Syst. Dynam., 15, 131–154, https://doi.org/10.5194/esd-15-131-2024, 2024. 

Serrano-Notivoli, R., Tejedor, E., Sarricolea, P., and Meseguer-Ruiz, O., de Luis, M., Saz, M. Á., Longares, L. A., and Olcina, J.: Unprecedented warmth: A look at Spain's exceptional summer of 2022, Atmospheric Research, 293, 106931, https://doi.org/10.1016/J.ATMOSRES.2023.106931, 2023. 

Sodoge, J., Kuhlicke, C., Mahecha, M. D., and de Brito, M. M.: Text mining uncovers the unique dynamics of socio-economic impacts of the 2018–2022 multi-year drought in Germany, Nat. Hazards Earth Syst. Sci., 24, 1757–1777, https://doi.org/10.5194/nhess-24-1757-2024, 2024. 

Spearman, C.: The proof and measurement of association between two things, Am. J. Psychol., 15, 72–101, https://doi.org/10.2307/1412159, 1904. 

Spinoni, J., Naumann, G., Vogt, J., and Barbosa, P.: Events and Impacts: Past Trends and Future Projections, European Commission Joint Research Centre, Meteorological Droughts in Europe, https://doi.org/10.2788/79637, 2016. 

Spinoni, J., Vogt, J. V., Naumann, G., Barbosa, P., and Dosio, A.: Will drought events become more frequent and severe in Europe?, International Journal of Climatology, 38, 1718–1736, https://doi.org/10.1002/JOC.5291, 2018. 

Stagge, J. H., Kohn, I., Tallaksen, L. M., and Stahl, K.: Modeling drought impact occurrence based on meteorological drought indices in Europe, Journal of Hydrology, 530, 37–50, https://doi.org/10.1016/j.jhydrol.2015.09.039, 2015. 

Stagge, J. H., Kingston, D. G., Tallaksen, L. M., and Hannah, D. M.: Observed drought indices show increasing divergence across Europe, Scientific Reports, 7, 14045, https://doi.org/10.1038/s41598-017-14283-2, 2017. 

Stein, U., Özerol, G., Tröltzsch, J., Landgrebe, R., Szendrenyi, A., and Vidaurre, R.: European drought and water scarcity policies, Governance for Drought Resilience: Land and Water Drought Management in Europe, 17–44, https://doi.org/10.1007/978-3-319-29671-5_2, 2016. 

Sutanto, S. J., Van Lanen, H. A. J., Wetterhall, F., and Llort, X.: Potential of Pan-European seasonal hydrometeorological drought forecasts obtained from a Multihazard Early Warning System, Bullettin, American Meteorological Society, 101, E368–E393, https://doi.org/10.1175/BAMS-D-18-0196.1, 2020a. 

Sutanto, S. J., van der Weert, M., Blauhut, V., and Van Lanen, H. A. J.: Skill of large-scale seasonal drought impact forecasts, Nat. Hazards Earth Syst. Sci., 20, 1595–1608, https://doi.org/10.5194/nhess-20-1595-2020, 2020b. 

Takeda, M. B. and Helms, M. M.: “Bureaucracy, meet catastrophe”: Analysis of Hurricane Katrina relief efforts and their implications for emergency response governance, International Journal of Public Sector Management, 19, 397–411, https://doi.org/10.1108/09513550610669211, 2006. 

Teutschbein, C., Albrecht, F., Blicharska, M., Tootoonchi, F., Stenfors, E., and Grabs, T.: Drought hazards and stakeholder perception: Unraveling the interlinkages between drought severity, perceived impacts, preparedness, and management, Ambio, 52, 1262–1281, https://doi.org/10.1007/S13280-023-01849-W, 2023. 

Tokarczyk, T., Szalińska, W., Łabędzki, L., Bąk, B., Stonevicius, E., Stankunavicius, G., Mateescu, E., and Aleksandru, D.: Poland: Meteorological Administration (NMA), http://water.usgs.gov (last access: 12 February 2026), 2015. 

Toreti, A., Masante, D., Acosta, N. J., Bavera, D., Cammalleri, C., De Jager, A., Di Ciollo, C., Hrast Essenfelder, A., Maetens, W., Magni, D., Mazzeschi, M., Spinoni, J., and De Felice, M.: Drought in Europe July 2022, EUR 31147 EN, Publications Office of the European Union, Luxembourg, 2022, ISBN 978-92-76-54953-6, https://publications.jrc.ec.europa.eu/repository/handle/JRC130253 (last access: 12 February 2026), 2022. 

Tripathy, K. P. and Mishra, A. K.: How Unusual Is the 2022 European Compound Drought and Heatwave Event?, Geophysical Research Letters, 50, e2023GL105453, https://doi.org/10.1029/2023GL105453, 2023. 

Tsakiris, G.: Proactive Planning Against Droughts, Procedia Engineering, 162, 15–24, https://doi.org/10.1016/J.PROENG.2016.11.004, 2016. 

UNDP: Mainstreaming Drought Risk Management, https://www.adaptation-undp.org/resources/mainstreaming-drought-risk-management-primer (last access: 12 February 2026), 2011. 

UNDRR: United Nations Office for Disaster Risk Reduction, GAR Special Report on Drought 2021, ISBN 9789212320274, 2021. 

United Nations: Transforming our world: The 2030 Agenda for Sustainable Development, https://sustainabledevelopment.un.org/post2015/transformingourworld (last access: 19 June 2024), 2015. 

van Daalen, K. R., Romanello, M., Rocklöv, J., Semenza, J. C., Tonne, C., Markandya, A., Dasandi, N., Jankin, S., Achebak, H., Ballester, J., Bechara, H., Callaghan, M. W., Chambers, J., Dasgupta, S., Drummond, P., Farooq, Z., Gasparyan, O., Gonzalez-Reviriego, N., Hamilton, I., and Lowe, R.: The 2022 Europe report of the Lancet Countdown on health and climate change: towards a climate resilient future, The Lancet Public Health, 7, e942–e965, https://doi.org/10.1016/S2468-2667(22)00197-9, 2022. 

Van Loon, A. F., Stahl, K., Di Baldassarre, G., Clark, J., Rangecroft, S., Wanders, N., Gleeson, T., Van Dijk, A. I. J. M., Tallaksen, L. M., Hannaford, J., Uijlenhoet, R., Teuling, A. J., Hannah, D. M., Sheffield, J., Svoboda, M., Verbeiren, B., Wagener, T., and Van Lanen, H. A. J.: Drought in a human-modified world: reframing drought definitions, understanding, and analysis approaches, Hydrol. Earth Syst. Sci., 20, 3631–3650, https://doi.org/10.5194/hess-20-3631-2016, 2016. 

Van Loon, A. F., Kchouk, S., Matanó, A., Tootoonchi, F., Alvarez-Garreton, C., Hassaballah, K. E. A., Wu, M., Wens, M. L. K., Shyrokaya, A., Ridolfi, E., Biella, R., Nagavciuc, V., Barendrecht, M. H., Bastos, A., Cavalcante, L., de Vries, F. T., Garcia, M., Mård, J., Streefkerk, I. N., Teutschbein, C., Tootoonchi, R., Weesie, R., Aich, V., Boisier, J. P., Di Baldassarre, G., Du, Y., Galleguillos, M., Garreaud, R., Ionita, M., Khatami, S., Koehler, J. K. L., Luce, C. H., Maskey, S., Mendoza, H. D., Mwangi, M. N., Pechlivanidis, I. G., Ribeiro Neto, G. G., Roy, T., Stefanski, R., Trambauer, P., Koebele, E. A., Vico, G., and Werner, M.: Review article: Drought as a continuum – memory effects in interlinked hydrological, ecological, and social systems, Nat. Hazards Earth Syst. Sci., 24, 3173–3205, https://doi.org/10.5194/nhess-24-3173-2024, 2024. 

Vicente-Serrano, S. M., Beguería, S., and López-Moreno, J. I.: A Multiscalar Drought Index Sensitive to Global Warming: The Standardized Precipitation Evapotranspiration Index, Journal of Climate, 23, 1696–1718, https://doi.org/10.1175/2009JCLI2909.1, 2010. 

Wilcoxon, F.: Individual comparisons by ranking methods, Biometrics Bulletin, 1, 80–83, https://doi.org/10.2307/3001968, 1945. 

Wilhite, D. A.: A methodology for drought preparedness, Natural Hazards, 13, 229–252, https://doi.org/10.1007/BF00215817, 1996. 

Wilhite, D. A.: Drought Monitoring as a Component of Drought Preparedness Planning, Advances in Natural and Technological Hazards Research, 26, 3–19, https://doi.org/10.1007/978-1-4020-9045-5_1, 2009. 

Wilhite, D. A., Hayes, M. J., Knutson, C., and Smith, K. H.: Planning for drought: Moving from crisis to risk management, JAWRA Journal of the American Water Resources Association, 36, 697–710, https://doi.org/10.1111/J.1752-1688.2000.TB04299.X, 2007.  

WMO: Standardized precipitation index user guide, WMO Rep, 1090, 24, https://library.wmo.int/records/item/39629-standardized-precipitation-index-user-guide (last access: 12 February 2026), 2012. 

WMO and GWP: Handbook of drought indicators and indices, Integrated Drought Management Programme (IDMP), Integrated Drought Management Tools and Guidelines Series 2, edited by: Svoboda, M. and Fuchs, B. A., Geneva, ISBN 978-92-63-11173-9, 2016. 

Xu, T., Chen, K., and Li, G.: The more data, the better? Demystifying deletion-based methods in linear regression with missing data, Statistics and Its Interface, 15, 515, https://doi.org/10.4310/21-SII717, 2022. 

Editorial statement
The study draws on a unique dataset collected from a survey of nearly 500 water managers engaged in addressing the 2022 European Drought. It offers valuable insights into how preparedness influences outcomes during large-scale drought events and highlights pathways to strengthen European Drought Risk Management. The manuscript is accompanied by a companion paper, "The 2022 Drought Needs to Be a Turning Point for European Drought Risk Management" (egusphere-2024-2069), which focuses on the drought’s impacts and response. Together, the two studies underscore the urgent need for coordinated action and conclude with policy recommendations for establishing a European Union Drought Directive
Short summary
This research by the Drought in the Anthropocene (DitA) network highlights the crucial role of forecasting systems and Drought Management Plans in European drought risk management. Based on a survey of water managers during the 2022 European drought, it underscores the impact of preparedness on response and the evolution of drought management strategies across the continent, showing how organisations with preparedness measures in place responded faster and more effectively. 
Share
Altmetrics
Final-revised paper
Preprint